由于本人水平极度有限,所以所写的只是个人的想法,不可避免地存在错漏,如果有任何意见或批评,非常欢迎告诉我,请email到pjy.studio@gmail.com
演示代码下载http://pjy.studio.googlepages.com/log_exp_pow.cpp
如果不能正常查看文章,请点击下载文章
最近特然对如何自己写出log()函数十分感兴趣,于是就想探索一下其实现方法。
上次简单的分析了一下pow()函数的实现,在那里只是简单的运用了Taylor展开。鉴于自然对数函数log(),函数exp()和函数pow()有密切的关系,于是就有了一齐把这三个函数的实现方法都写出来的想法。而其中,实现log()函数是最关健和复杂的部分。为了与库函数分开,我自己写的这三个函数名命名为powP,lnP,expP。以下是我的一些想法:
一,运用Taylor展开
要实现lnP,应用Taylor展开是最一般的方法了。这里把lnP(t)转化为lnP(1+x),然后进行展开,由数学分析知识知道在0<t<=2的范围类,其展开式是收敛的,记 。这样就可以粗略计算lnP了,但实现时会发现,用Taylor展开计算的效果并不令人满意,这主要是指其收敛的速度不够快,当t接近0,1,2时,计算时间十分长。这样,我们就需要对
做出变换,以加快其收敛速度,这里,我用了Aitken外推数列的方法。
二,应用Aitken算法加速数列收敛
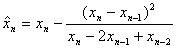
在实现lnP函数中,加速数列收敛的Aitken方法是整个过程的核心,因此,简单的介绍一下Aitken方法:
计算级数三,进一步改进
虽然应用Aitken方法,得出收敛更快的数列,但通过试验,可以发现当t十分接近0时,其收敛速度依然不能令人满意。而这是个十分重要的问题,因为应用基于Taylor展开的方法,只能计算0<t<=2的lnP(t).而当t大于2时,就要转换为计算-lnP(1/t),这就把问题转为计算0<t<0.5的lnP(t),如果此时不能解决t接近0时收敛慢的问题,也就相当于解决不了t比较大时的计算问题。
要解决这个问题,可以只需把计算在(0,0.5)的t转为计算在(1,2)的t。要实现这样的转换,可以进行t=a×e^n的转化,其中a在(1,2)内。这样,lnP(t)=ln(a)+n,只要找出对应的n即可。对于小于0.5的t,要找到满足1<t/e^n<2的n,只要定义一个n的初值,然后对n不断减少,计算n为何值时,t/e^n=a在(1,2)即可。为了确保每次减少n,得出的两个范围(e^n,2*e^n)始终不会分离,我们要解2*e^(n-d) > e^n。可以计算得,d取得比较大的值为0.6。所以可以取n= -1,这时满足1<t/e^n<2的t范围是(0.3678794,0.7357588),例如每次减少0.6,当减少一次时,n= -1.6,此时满足1<t/e^n<2的t范围是(0.2018965,0.403793),减少第二次时,n= -2.2,范围为(0.1108031,0.2216063)。这样,只要如此计算,就能找到合适的n,使1<t/e^n<2。这样的话,又需要有计算e^n的函数,我们可以用相同的方法,先进行Taylor展开,在用Aitken外推数列,即可得出计算e^n的函数expP()。
综上述,已能较好的解决t在(0,2)内的自然对数,最后对于t>2进行-lnP(1/t)转换,就能计算t>0的自然对数。
最后,有了lnP()与expP(),就可以计算powP()了,因为ln(x^y) = y×lnx ,所以x^y=exp(y×lnx )。
由以上分析,可以写出一下代码:
double
expP(
double
x)
//
计算e^x,实现系统的exp()功能

...
{
if(x==0) return 1;
if(x<0) return 1/expP(-x);
double y=x,ex_p1=0,ex_p2=0,ex_p3=0,ex_p=0,ex_px=0,ex_tmp=1,dex_px=1,tmp;
int l;
for(l=1,tmp=1;((ex_px-ex_tmp)>1e-10 || (ex_px-ex_tmp)<-1e-10) && dex_px>1e-10;l++)
...{
ex_tmp=ex_px;
tmp*=y;
tmp=tmp/l;
ex_p1+=tmp;
ex_p2=ex_p1+tmp*y/(l+1);
ex_p3=ex_p2+tmp*y*y/(l+1)/(l+2);
dex_px=ex_p3-ex_p2;
ex_px=ex_p3-dex_px*dex_px/(ex_p3-2*ex_p2+ex_p1);
}
return ex_px+1;
}
double
lnP(
double
x)
...
{
if(x==1) return 0;
else if(x>2) return -lnP(1/x);
else if(x<.1)
...{
double n=-1;
double a;
do
...{
n=n-.6;
a=x/exp(n);
}
while(a>2 || a<1);
return lnP(a)+n;
}
double y=x-1,ln_p1=0,ln_p2=0,ln_p3=0,ln_p=0,ln_px=0,ln_tmp=1,dln_px=1,tmp;
int l;
for(l=1,tmp=1;(ln_px-ln_tmp)>1e-10 || (ln_px-ln_tmp)<-1e-10;l++)
...{
ln_tmp=ln_px;
tmp*=y;
if(l==1) tmp=tmp/l;
else tmp=tmp/-l;
ln_p1+=tmp;
ln_p2=ln_p1+-1*tmp*y*l/(l+1);
ln_p3=ln_p2+tmp*y*y*l/(l+2);
dln_px=ln_p3-ln_p2;
ln_px=ln_p3-dln_px*dln_px/(ln_p3-2*ln_p2+ln_p1);
tmp*=l;
}
return ln_px;
}
double
powP(
double
x,
double
y)
//
计算x^y

...
{
if(x==0 && y!=0) return 0;
else if(x==0 && y==0) return 1;
else if(y<0) return 1/powP(x,-y);//把指数小于0的情况转为1/x^-y计算
else if(x<0 && y-int(y)!=0) return 0;//若x为负,且y不为整数数,则出错,返回0
else if(x<0 && y-int(y)==0)//若x为负,且y为整数数,则用循环计算 
...{
double powint=1;
int i;
for(i=1;i<=y;i++) powint*=x;
return powint;
}
return expP(y*lnP(x));
}
2915

被折叠的 条评论
为什么被折叠?



