前些天发现了一个巨牛的人工智能学习网站,通俗易懂,风趣幽默,忍不住分享一下给大家:点击跳转
目录
一,次梯度
1,次梯度、次微分
函数f的次微分:

集合中的每个g都称为次梯度。
2,次梯度的性质

PS:第(2)条的集合加法是A+B={x+y | x in A && y in B}
(4)凸函数的次梯度是一个非空有界凸集。
(5)某点处的次梯度含有0则代表该点是极值点。
3,共轭函数和次梯度
(1)共轭函数和原函数次梯度的对偶
即的上确界在x处能取到,等价于,y是f在x处的次微分。
(2)原函数次梯度和共轭函数次梯度的对偶
x是共轭函数在y处的次梯度,等价于y是原函数在x处的次梯度。

例子:
例1,f是一元可微函数
f的次微分是单元素集合{f'},y是原函数在x处的次梯度即y=f'(x)
根据共轭函数的导数和原函数的导数互为反函数可得,x等于共轭函数的导数在y处的值,
即x是共轭函数在y处的次梯度。
例2,f(x) = |x| 即一阶范数
f的次微分∂f是个分段函数,x<0时∂f={-1},x=0时∂f=[-1,1], x>0时∂f={1}
f的共轭函数是f*(y)=0, y∈[-1,1],
f*的次微分∂f*是个分段函数,y=-1时∂f*=(-∞,0], y∈(-1,1)时,∂f*={0},y=1时∂f*=[0,+∞)
显然2个次微分完全对应。
应用:
![]()
(3)共轭函数和共轭函数次梯度的对偶
即的上确界在x处能取到,等价于,x是f*在y处的次微分。
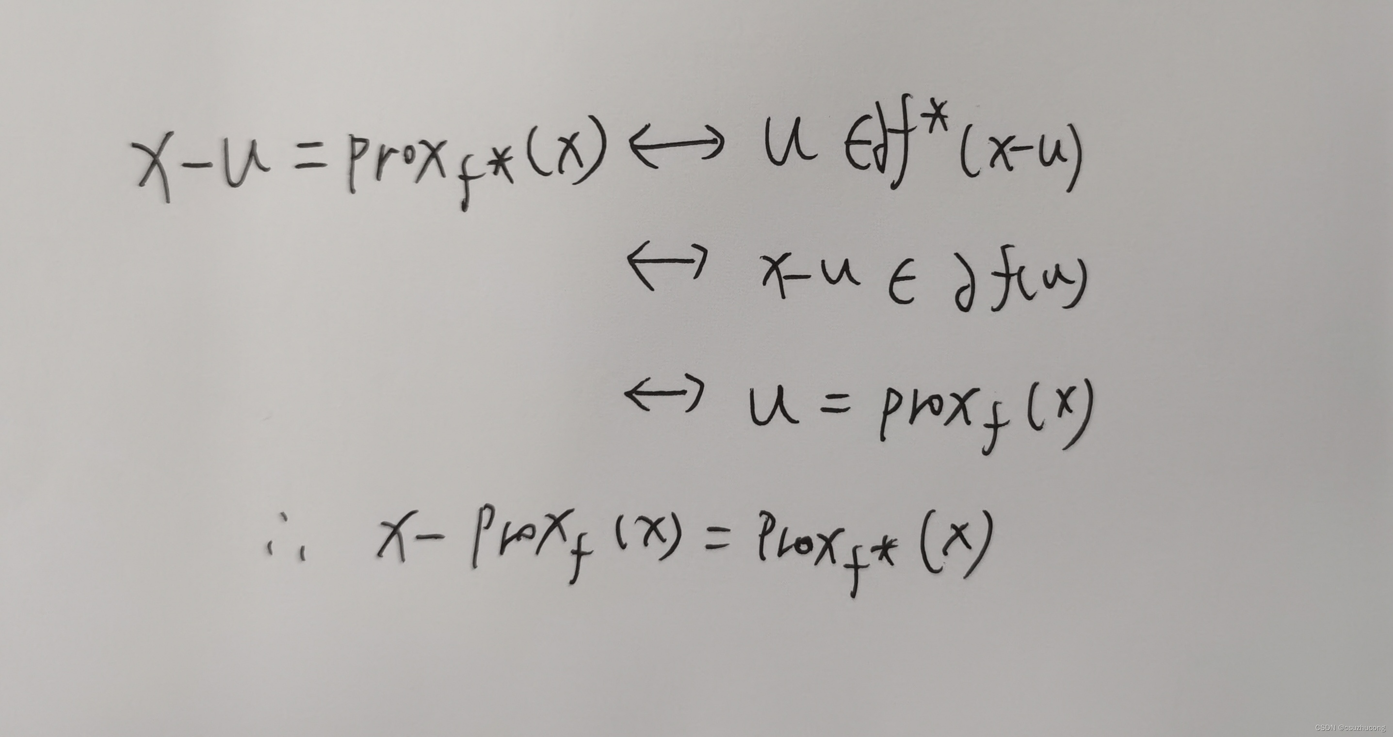
4,近端映射函数和次梯度
(1)近端映射函数和次梯度的对偶
推导:

(2)原函数的近端映射函数和共轭函数的近端映射函数的对偶
即Moreau 分解:
推导:

(3)广义Moreau 分解
推导:
二,次梯度下降
在不可微分的场景下,用次梯度取代梯度做梯度下降。
实际上,各种梯度下降可以对应各种次梯度下降(不一定所有的都能对应)。
比如:
普通梯度下降 对应 普通次梯度下降
投影梯度下降 对应 投影次梯度下降
三,镜像次梯度下降算法
来自这个学习资料
1,Bregman距离

2,镜像次梯度下降算法

迭代求解:

3,实例
比如:

4,收敛条件

本文详细介绍了次梯度的概念、性质,包括其与共轭函数的关系,以及在次梯度下降和镜像次梯度下降算法中的应用,涉及Bregman距离和广义Moreau分解。讨论了次梯度在不可微分问题中的替代作用,并举例说明了各种梯度下降方法与其对应关系。
6219

被折叠的 条评论
为什么被折叠?



