目录
一,傅里叶级数
1,三角函数系
{1, cos x, sin x, cos 2x, sin 2x,......}在[-π,π]上正交
2,周期为2π的傅里叶级数
f在[-π,π]上按段光滑,f周期为2π
其中,,
3,部分和数列
f在[-π,π]上按段光滑,f周期为2π,则
证明:

4,贝塞尔不等式(Bessel)


5,傅里叶级数的狄利克雷收敛定理
任意x,f(x+0)+f(x-0)=2S(x)

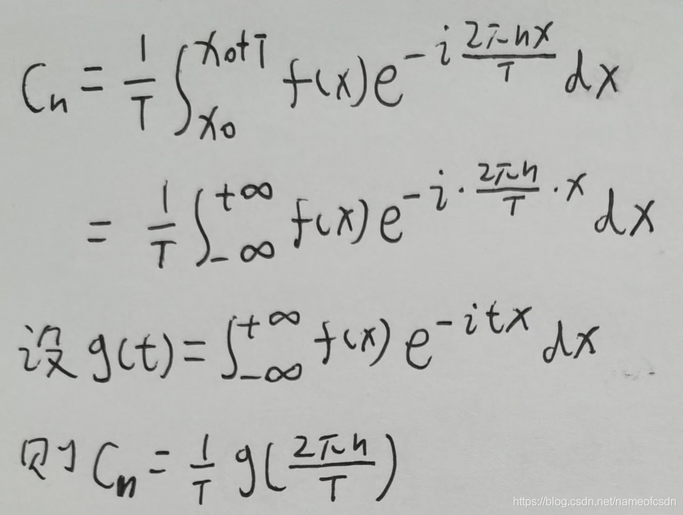
6,周期为T的傅里叶级数
其中,,
7,傅里叶级数的复数形式


其中要么是实数要么是纯虚数
8,Demo1——连续周期信号
先构造函数:(周期为2pi)
构造点阵,然后画图:
from numpy import *
from matplotlib.pyplot import *
from pylab import *
import math
pi = 3.1415926
x = linspace(-pi * 2, pi * 2, 1000)
y = [1 if int((i + pi * 2) / pi + 1) % 2 == 0 else -1 for i in x]
plot(x, y)
show()
运行结果:

然后计算傅里叶级数:
,其中
当n为偶数时, = 0
然后画图显示傅里叶级数:
s = 0
for n in range(1,100,2):
bn = ((-1)**n-1)*2/n/pi
s1 = bn* sin(n*x)
s += s1
plot(x, y)
plot(x, s)
plot(x, s1)
show()
#time.sleep(2)


蓝色的是原始函数,绿色的是傅里叶级数的第n项,橙色的是傅里叶级数的前n项和。
当n越来越大时,部分和数列越来越接近原始函数。

二,一维傅里叶变换
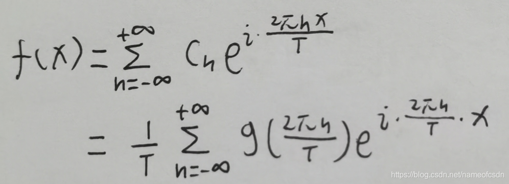
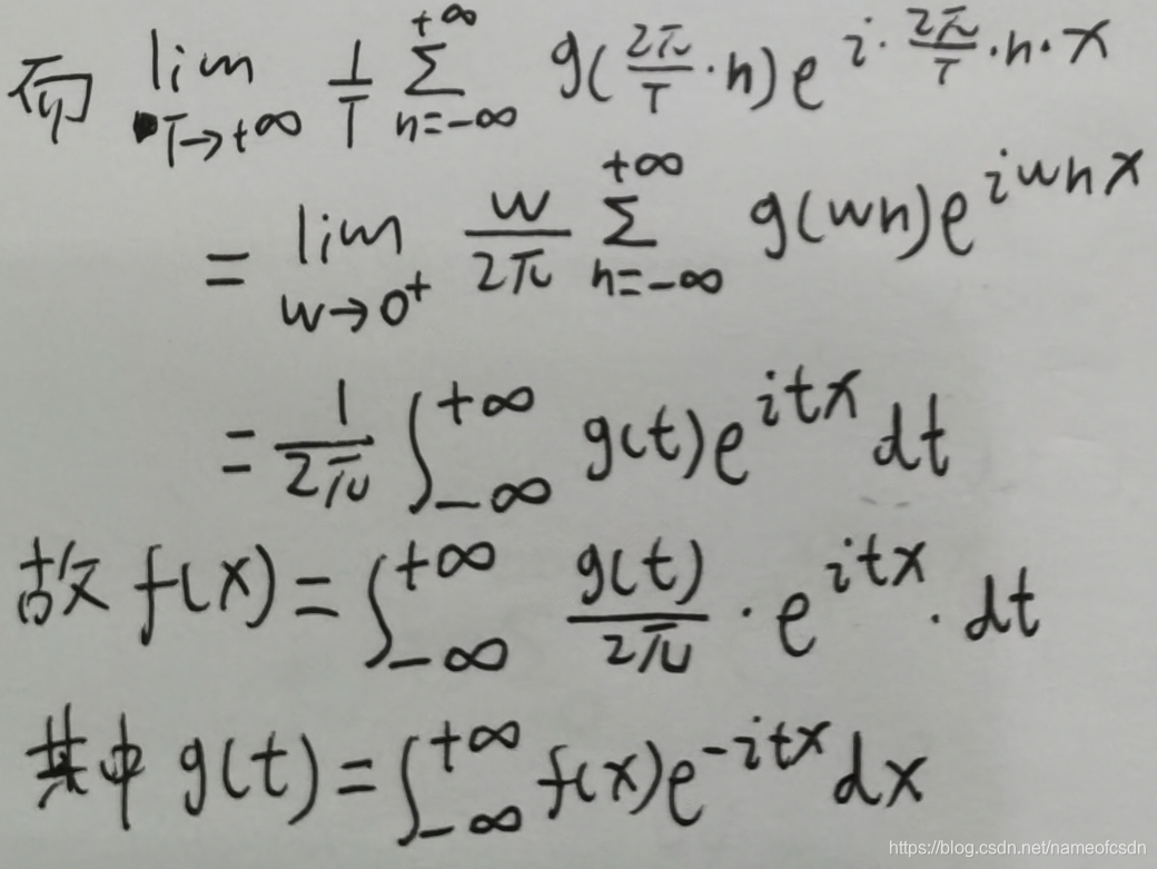
1,傅里叶级数的极限
对于非周期函数,可以理解为周期是无穷大。

对上面的式子,我给出了不是特别严谨的数学证明:



2,傅里叶变换(FT)
傅里叶变换:
逆变换:
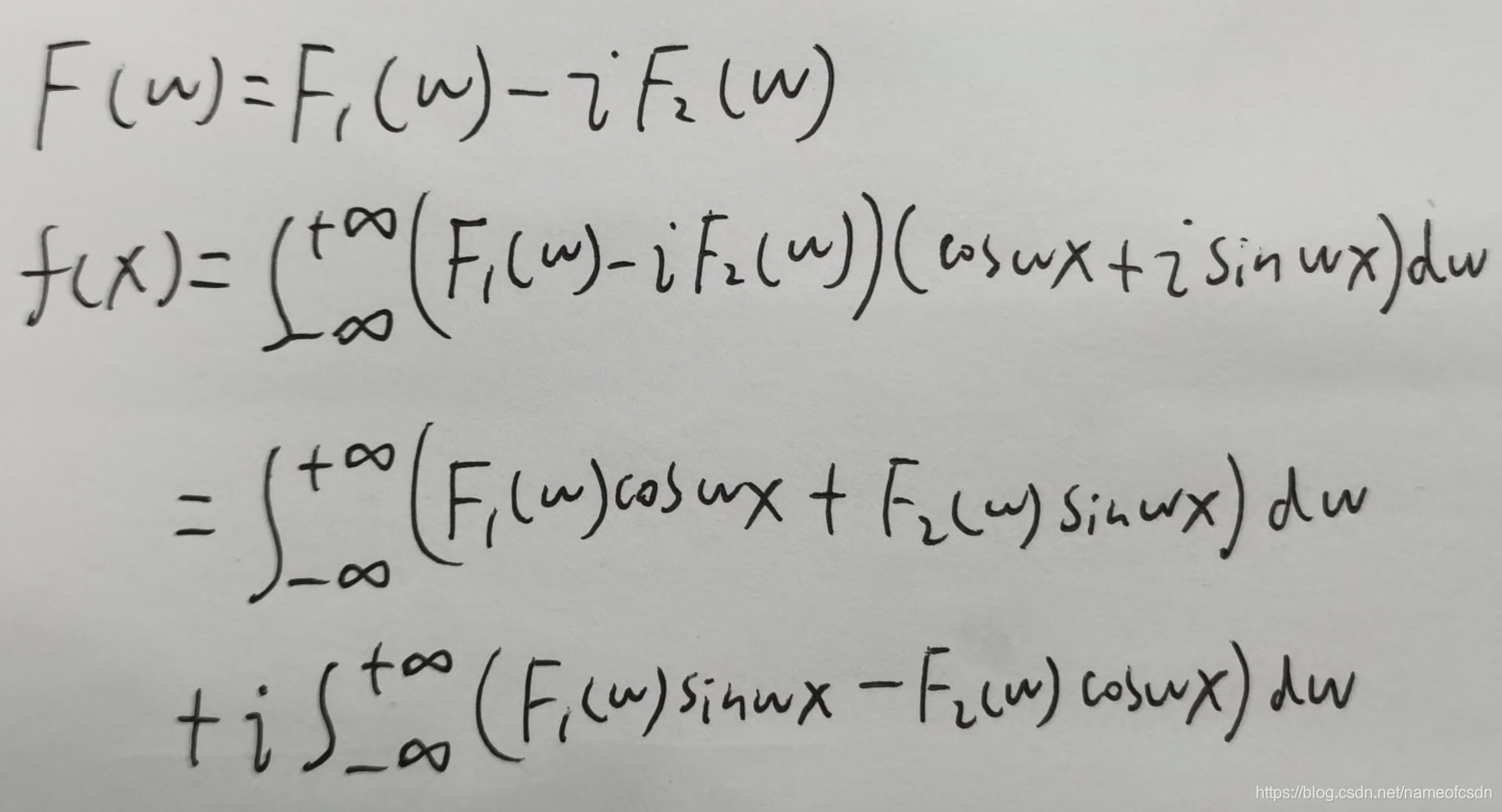
(1)深入理解FT
把F按照实部和虚部分开表示:
即F1是F的实部,F2是F的虚部。
而实函数一定可以表示成奇函数和偶函数之和,不妨设,其中f1是偶函数,f2是奇函数,则
所以f中的偶函数分量经过傅里叶变换之后会得到实部,奇函数分量经过傅里叶变换之后会得到虚部。
另一方面,F1显然是偶函数,F2显然是奇函数,所以也可以说,f中的偶函数分量经过傅里叶变换之后会得到偶函数,奇函数分量经过傅里叶变换之后会得到奇函数。
而对于逆变换:

因为F1是偶函数,F2是奇函数,所以也能推导出f的虚部为0,最终得到:
即F中的偶函数分量经过逆变换之后会得到偶函数,奇函数分量经过逆变换之后会得到奇函数。
(2)Demo2——连续非周期信号
import numpy
from pylab import *

本文深入探讨傅里叶级数和傅里叶变换,包括周期为2π和T的傅里叶级数、傅里叶变换的性质、离散傅里叶变换(DFT)及其快速算法(FFT)。通过实例分析和代码演示,展示了傅里叶变换在连续和离散信号处理中的应用,以及在图像处理中的二维傅里叶变换。最后提到了OpenCV中的getOptimalDFTSize函数在最佳DFT尺寸计算中的作用。
最低0.47元/天 解锁文章
9156

被折叠的 条评论
为什么被折叠?



