Sources
paper: https://arxiv.org/abs/2205.14135
an informal talk by the author Tri Dao: https://www.youtube.com/watch?v=FThvfkXWqtE
code repo: GitHub - HazyResearch/flash-attention: Fast and memory-efficient exact attention
introduction to transformer: Transformer and Bert_EverNoob的博客-优快云博客
Key Takeaways
Key features of FlashAttention (in the paper title): fast, memory-efficient, exact
Key algorithmic ideas
- tiling: avoid loading/unloading N*N matrices at once ==> one key here is how to break down softmax into linearly recoverable partials sums;
- recomputation: avoid saving intermediate results, compute them again during back-propagation instead.
The upshot: faster model training, better models with longer sequences (longer context for more accurate parsing).
Attention to FlashAttention
Regular Attention:

the heavy memory access is marked below:

a full version of the algorithm is:


the mask and dropout stages are not necessary, but they can be used to enhance training results; both of these perf. opt. steps introduce additional heavy memory costs.

to reduce memory traffic, we want to:
1. compute softmax piecewise per tiling
2. skip saving intermediate results (S, P)
which is the most memory demanding being N*N

We apply two established techniques (tiling, recomputation) to overcome the technical challenge of computing exact attention in sub-quadratic HBM accesses. We describe this in Algorithm 1. The main idea is that we split the inputs Q, K, V into blocks, load them from slow HBM to fast SRAM, then compute the attention output with respect to those blocks.

![]()


Tiling
By scaling the output of each block by the right normalization factor before adding them up, we get the correct result at the end.

there is a mathematically equivalent parital sum:

and we only need to record max and partial exp. sum per block to break the interdependence among the blocks.
Recomputation
for backward pass:

the backward pass for standard attention is listed below, with the avoidable memory costs boxed out:

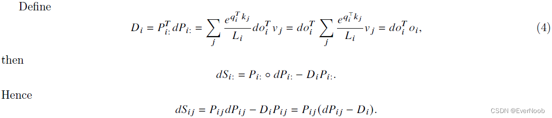
notably for FlashAttention, we do not save P

how to compute the gradients with saved softmax normalization statistics is discussed below.
FlashAttention Forward and Backward Implmentation
Memory Efficient Forward Pass



Memory Efficient Backward Pass



==> the ":" denotes row-wise; the hollow dot denotes pointwise multiplication.
from here
The Jacobian matrix collects all first-order partial derivatives of a multivariate function that can be used for backpropagation. The Jacobian determinant is useful in changing between variables, where it acts as a scaling factor between one coordinate space and another.



FlashAttention是一种针对Transformer模型的优化方法,通过tiling和recomputation技术,实现了快速且内存高效的精确注意力计算。该方法避免了全N*N矩阵的加载,分块计算softmax并存储部分和,减少了内存交通,特别是在处理长序列时能提升模型训练速度和准确性。在反向传播中,不需要保存中间结果P,从而降低了内存成本。

1540

被折叠的 条评论
为什么被折叠?



