✅作者简介:热爱科研的Matlab仿真开发者,擅长数据处理、建模仿真、程序设计、完整代码获取、论文复现及科研仿真。
🍎 往期回顾关注个人主页:Matlab科研工作室
🍊个人信条:格物致知,完整Matlab代码获取及仿真咨询内容私信。
🔥 内容介绍
滚动轴承作为旋转机械的核心关键部件,广泛应用于风电装备、轨道交通、航空发动机、工业机器人等重大装备领域。其运行状态直接决定了整机的可靠性、安全性与运行效率。在长期交变载荷、摩擦磨损、润滑失效等多因素作用下,滚动轴承会逐渐发生性能退化,最终引发故障,可能导致设备停机、生产中断甚至重大安全事故。据统计,旋转机械故障中约40%与滚动轴承失效相关,因此,精准刻画滚动轴承的性能退化过程、科学评估其剩余使用寿命(Remaining Useful Life, RUL),对实现装备的预测性维护、降低运维成本、保障运行安全具有重要的工程价值与科学意义。
滚动轴承性能退化表征与RUL评估的核心挑战在于:一是退化过程的复杂性,轴承退化涉及磨损、疲劳、腐蚀等多失效模式的耦合作用,退化信号呈现非线性、非平稳特性;二是工况的不确定性,实际运行中转速、载荷、温度等工况波动会干扰退化信号,影响表征精度;三是评估指标的适配性,需筛选出能精准反映退化程度、有效关联RUL的特征指标。其中,性能退化表征指标的相关性、单调性与鲁棒性是保障RUL评估精度的核心前提——相关性确保指标与退化程度紧密关联,单调性确保指标随退化进程持续变化,鲁棒性确保指标在工况波动下稳定可靠。
传统的轴承性能退化表征方法多依赖单一物理信号(如振动、温度)的简单统计指标,存在相关性不足、抗干扰能力弱等问题,难以满足复杂工况下的RUL评估需求。近年来,随着信号处理技术、机器学习算法的发展,基于多源信号融合、复杂特征提取的退化表征方法成为研究热点,但其核心仍需围绕相关性、单调性、鲁棒性三大核心要求展开。本文将系统解析滚动轴承性能退化表征的核心指标体系,重点探讨相关性、单调性与鲁棒性的评价标准与提升策略,为精准的RUL评估提供理论与技术支撑。
核心理论解析:性能退化表征的三大核心要求
滚动轴承的性能退化过程是一个从正常状态到轻微退化、严重退化直至失效的渐进式过程。性能退化表征的核心是通过提取传感器信号(振动、声发射、温度、油液等)中的特征指标,构建能精准映射退化程度的“特征-退化”关系模型。而相关性、单调性、鲁棒性是衡量特征指标有效性的三大核心准则,直接决定了RUL评估的精度与可靠性。
1. 相关性:特征与退化程度的紧密关联
相关性是指性能退化表征指标与轴承实际退化程度之间的统计关联程度,其核心要求是特征指标能敏感反映轴承退化状态的变化,避免出现“伪相关”或“弱相关”。轴承的实际退化程度可通过磨损量、疲劳裂纹长度、表面粗糙度等物理损伤参数直接衡量,但这类参数在实际运行中难以实时监测,因此需通过间接的信号特征与物理损伤参数建立关联。
相关性的评价方法主要包括:① 线性相关性分析,如皮尔逊相关系数,用于衡量特征指标与损伤参数之间的线性关联程度,绝对值越接近1,相关性越强;② 非线性相关性分析,如互信息、斯皮尔曼等级相关系数,适用于特征与损伤之间存在非线性关系的场景,能更全面地刻画关联特性;③ 敏感性分析,通过对比不同退化阶段特征指标的变化幅度,评估指标对退化状态变化的敏感程度,敏感程度越高,相关性越强。
例如,振动信号中的峰值、峭度、均方根值(RMS)等指标,在轴承出现早期疲劳裂纹时会显著增大,与裂纹长度呈现较强的正相关关系;而温度信号的均值在轴承正常运行阶段波动较小,仅在严重退化阶段才明显升高,对早期退化的相关性较弱,因此更适用于后期退化表征。
2. 单调性:特征随退化进程的持续变化
单调性是指性能退化表征指标随轴承退化进程(时间或损伤程度)呈现持续上升或持续下降的变化特性,其核心要求是指标能清晰区分不同退化阶段,避免出现“波动反转”或“停滞不前”的现象。单调性是实现RUL定量评估的关键——只有具备良好单调性的特征指标,才能通过拟合特征-时间曲线,外推得到轴承从当前状态到失效状态的剩余时间。
单调性的评价方法主要包括:① 趋势一致性分析,计算特征指标序列的线性趋势斜率,斜率绝对值越大且符号一致(全正或全负),单调性越好;② 波动系数分析,通过计算特征序列的波动幅度与趋势变化幅度的比值,评估指标在趋势变化过程中的稳定性,波动系数越小,单调性越优;③ 阶段单调性验证,将退化过程划分为早期、中期、晚期三个阶段,分别验证各阶段内指标的单调性,确保全退化周期内的趋势一致性。
例如,轴承振动信号的波形因子(峰值/有效值)在全退化周期内呈现持续上升趋势,从正常状态的1.2左右逐步上升至失效前的3.5以上,单调性良好;而峰峰值指标在早期退化阶段可能因工况轻微波动出现局部下降,单调性较差,需结合其他指标进行融合表征。
3. 鲁棒性:特征在复杂工况下的稳定可靠
鲁棒性(又称稳健性)是指性能退化表征指标在转速波动、载荷变化、温度漂移、噪声干扰等复杂工况条件下,保持其表征能力的稳定性。实际工业场景中,轴承的运行工况往往是动态变化的,工况波动会对传感器信号产生强烈干扰,可能导致特征指标出现虚假变化,干扰退化状态的判断。因此,鲁棒性是确保退化表征方法工程适用性的核心要求。
鲁棒性的评价方法主要包括:① 工况敏感性测试,在不同转速、载荷、温度条件下,对比同一退化状态下特征指标的变异系数,变异系数越小,鲁棒性越强;② 噪声干扰测试,向原始信号中添加不同强度的高斯噪声,评估特征指标对噪声的抵抗能力,指标值变化幅度越小,鲁棒性越好;③ 重复性验证,在相同退化状态、不同工况下多次采集信号,计算特征指标的重复精度,重复精度越高,鲁棒性越优。
例如,基于振动信号的小波包能量熵指标,通过提取信号的频域能量分布特征,能有效抑制转速波动带来的干扰,鲁棒性显著优于传统的时域统计指标(如峰值、RMS);而温度信号的峰值指标易受环境温度变化影响,鲁棒性较差,需通过环境补偿算法提升其稳定性。
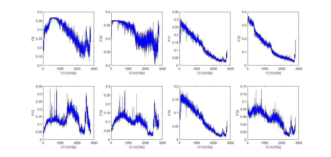
⛳️ 运行结果














📣 部分代码
🔗 参考文献
🎈 部分理论引用网络文献,若有侵权联系博主删除
👇 关注我领取海量matlab电子书和数学建模资料
🏆团队擅长辅导定制多种科研领域MATLAB仿真,助力科研梦:
🌟 各类智能优化算法改进及应用
生产调度、经济调度、装配线调度、充电优化、车间调度、发车优化、水库调度、三维装箱、物流选址、货位优化、公交排班优化、充电桩布局优化、车间布局优化、集装箱船配载优化、水泵组合优化、解医疗资源分配优化、设施布局优化、可视域基站和无人机选址优化、背包问题、 风电场布局、时隙分配优化、 最佳分布式发电单元分配、多阶段管道维修、 工厂-中心-需求点三级选址问题、 应急生活物质配送中心选址、 基站选址、 道路灯柱布置、 枢纽节点部署、 输电线路台风监测装置、 集装箱调度、 机组优化、 投资优化组合、云服务器组合优化、 天线线性阵列分布优化、CVRP问题、VRPPD问题、多中心VRP问题、多层网络的VRP问题、多中心多车型的VRP问题、 动态VRP问题、双层车辆路径规划(2E-VRP)、充电车辆路径规划(EVRP)、油电混合车辆路径规划、混合流水车间问题、 订单拆分调度问题、 公交车的调度排班优化问题、航班摆渡车辆调度问题、选址路径规划问题、港口调度、港口岸桥调度、停机位分配、机场航班调度、泄漏源定位、冷链、时间窗、多车场等、选址优化、港口岸桥调度优化、交通阻抗、重分配、停机位分配、机场航班调度、通信上传下载分配优化
🌟 机器学习和深度学习时序、回归、分类、聚类和降维
2.1 bp时序、回归预测和分类
2.2 ENS声神经网络时序、回归预测和分类
2.3 SVM/CNN-SVM/LSSVM/RVM支持向量机系列时序、回归预测和分类
2.4 CNN|TCN|GCN卷积神经网络系列时序、回归预测和分类
2.5 ELM/KELM/RELM/DELM极限学习机系列时序、回归预测和分类
2.6 GRU/Bi-GRU/CNN-GRU/CNN-BiGRU门控神经网络时序、回归预测和分类
2.7 ELMAN递归神经网络时序、回归\预测和分类
2.8 LSTM/BiLSTM/CNN-LSTM/CNN-BiLSTM/长短记忆神经网络系列时序、回归预测和分类
2.9 RBF径向基神经网络时序、回归预测和分类
2.10 DBN深度置信网络时序、回归预测和分类
2.11 FNN模糊神经网络时序、回归预测
2.12 RF随机森林时序、回归预测和分类
2.13 BLS宽度学习时序、回归预测和分类
2.14 PNN脉冲神经网络分类
2.15 模糊小波神经网络预测和分类
2.16 时序、回归预测和分类
2.17 时序、回归预测预测和分类
2.18 XGBOOST集成学习时序、回归预测预测和分类
2.19 Transform各类组合时序、回归预测预测和分类
方向涵盖风电预测、光伏预测、电池寿命预测、辐射源识别、交通流预测、负荷预测、股价预测、PM2.5浓度预测、电池健康状态预测、用电量预测、水体光学参数反演、NLOS信号识别、地铁停车精准预测、变压器故障诊断
🌟图像处理方面
图像识别、图像分割、图像检测、图像隐藏、图像配准、图像拼接、图像融合、图像增强、图像压缩感知
🌟 路径规划方面
旅行商问题(TSP)、车辆路径问题(VRP、MVRP、CVRP、VRPTW等)、无人机三维路径规划、无人机协同、无人机编队、机器人路径规划、栅格地图路径规划、多式联运运输问题、 充电车辆路径规划(EVRP)、 双层车辆路径规划(2E-VRP)、 油电混合车辆路径规划、 船舶航迹规划、 全路径规划规划、 仓储巡逻、公交车时间调度、水库调度优化、多式联运优化
🌟 无人机应用方面
无人机路径规划、无人机控制、无人机编队、无人机协同、无人机任务分配、无人机安全通信轨迹在线优化、车辆协同无人机路径规划、
🌟 通信方面
传感器部署优化、通信协议优化、路由优化、目标定位优化、Dv-Hop定位优化、Leach协议优化、WSN覆盖优化、组播优化、RSSI定位优化、水声通信、通信上传下载分配
🌟 信号处理方面
信号识别、信号加密、信号去噪、信号增强、雷达信号处理、信号水印嵌入提取、肌电信号、脑电信号、信号配时优化、心电信号、DOA估计、编码译码、变分模态分解、管道泄漏、滤波器、数字信号处理+传输+分析+去噪、数字信号调制、误码率、信号估计、DTMF、信号检测
🌟电力系统方面
微电网优化、无功优化、配电网重构、储能配置、有序充电、MPPT优化、家庭用电、电/冷/热负荷预测、电力设备故障诊断、电池管理系统(BMS)SOC/SOH估算(粒子滤波/卡尔曼滤波)、 多目标优化在电力系统调度中的应用、光伏MPPT控制算法改进(扰动观察法/电导增量法)、电动汽车充放电优化、微电网日前日内优化、储能优化、家庭用电优化、供应链优化\智能电网分布式能源经济优化调度,虚拟电厂,能源消纳,风光出力,控制策略,多目标优化,博弈能源调度,鲁棒优化
电力系统核心问题经济调度:机组组合、最优潮流、安全约束优化。新能源消纳:风光储协同规划、弃风弃光率量化、爬坡速率约束建模多能耦合系统:电-气-热联合调度、P2G与储能容量配置新型电力系统关键技术灵活性资源:虚拟电厂、需求响应、V2G车网互动、分布式储能优化稳定与控制:惯量支撑策略、低频振荡抑制、黑启动预案设计低碳转型:碳捕集电厂建模、绿氢制备经济性分析、LCOE度电成本核算风光出力预测:LSTM/Transformer时序预测、预测误差场景生成(GAN/蒙特卡洛)不确定性优化:鲁棒优化、随机规划、机会约束建模能源流分析、PSASP复杂电网建模,经济调度,算法优化改进,模型优化,潮流分析,鲁棒优化,创新点,文献复现微电网配电网规划,运行调度,综合能源,混合储能容量配置,平抑风电波动,多目标优化,静态交通流量分配,阶梯碳交易,分段线性化,光伏混合储能VSG并网运行,构网型变流器, 虚拟同步机等包括混合储能HESS:蓄电池+超级电容器,电压补偿,削峰填谷,一次调频,功率指令跟随,光伏储能参与一次调频,功率平抑,直流母线电压控制;MPPT最大功率跟踪控制,构网型储能,光伏,微电网调度优化,新能源,虚拟同同步机,VSG并网,小信号模型
🌟 元胞自动机方面
交通流 人群疏散 病毒扩散 晶体生长 金属腐蚀
🌟 雷达方面
卡尔曼滤波跟踪、航迹关联、航迹融合、SOC估计、阵列优化、NLOS识别
🌟 车间调度
零等待流水车间调度问题NWFSP 、 置换流水车间调度问题PFSP、 混合流水车间调度问题HFSP 、零空闲流水车间调度问题NIFSP、分布式置换流水车间调度问题 DPFSP、阻塞流水车间调度问题BFSP
👇
2387

被折叠的 条评论
为什么被折叠?



