✅作者简介:热爱科研的Matlab仿真开发者,擅长数据处理、建模仿真、程序设计、完整代码获取、论文复现及科研仿真。
🍎 往期回顾关注个人主页:Matlab科研工作室
🍊个人信条:格物致知,完整Matlab代码获取及仿真咨询内容私信。
🔥 内容介绍
一、原文翻译
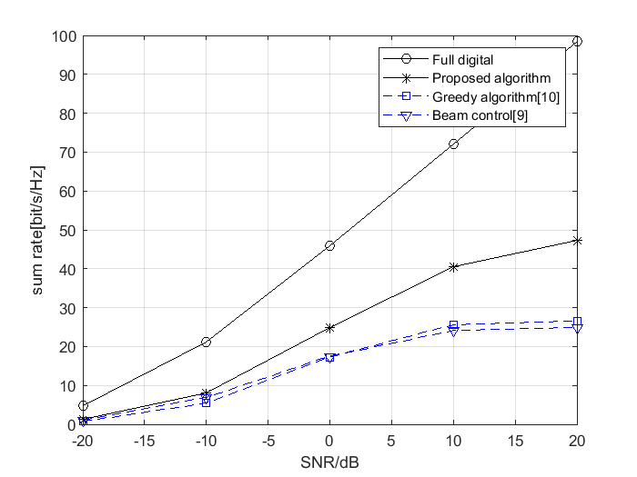
在毫米波大规模多输入多输出(MIMO)多用户系统中,用户间干扰成为限制系统容量的主要因素。提升系统容量的前提是在保证较大接收功率的基础上,最大限度地降低用户间干扰。针对这一情况,本文提出一种低复杂度分组优化的混合波束赋形(HBF)算法。具体而言,根据用户信道相关性及相关性阈值对用户进行分组,将相关性较强的用户划分为一组;随后以容量最大化为目标,在每组内采用低维穷举算法选择基站波束赋形向量,并引入贪心算法,即考虑前序各组波束赋形向量产生的影响。仿真结果表明,该分组优化混合波束赋形算法的系统和速率高于现有混合波束赋形算法。
二、核心术语解析
| 术语 | 英文全称 | 领域 | 含义解析 |
|---|---|---|---|
| 毫米波大规模 MIMO | Millimeter-wave Massive Multiple Input Multiple Output | 无线通信 | 工作在毫米波频段(通常 30GHz-300GHz),基站端配备大量天线(数十至数百根)的多输入多输出技术,可通过空间复用提升系统容量,是 5G 及 6G 关键技术之一 |
| 用户间干扰 | Inter-user Interference | 无线通信 | 多用户系统中,不同用户的信号在传输过程中相互叠加,对彼此接收端造成的干扰,会导致接收信号质量下降,是限制多用户系统容量的核心因素 |
| 混合波束赋形(HBF) | Hybrid Beamforming | 无线通信 | 结合数字波束赋形(基带端调整,灵活性高但硬件成本高)与模拟波束赋形(射频端调整,硬件简单但精度有限)的波束赋形技术,可在成本与性能间取得平衡,适用于大规模 MIMO 系统 |
| 信道相关性 | Channel Correlation | 无线通信 | 不同用户与基站间信道特性的相似程度,通常用相关系数衡量。相关性强意味着用户信道在空间上重叠度高,易产生严重的用户间干扰 |
| 系统和速率 | System Sum Rate | 无线通信 | 多用户系统中所有用户传输速率的总和,是衡量系统容量的核心指标,算法性能优劣常通过对比系统和速率体现 |
| 贪心算法 | Greedy Algorithm | 算法优化 | 一种逐步优化的算法策略,每一步都选择当前情况下最优的方案(如本文中选择对系统容量提升最大的波束赋形向量),虽不一定能得到全局最优解,但计算复杂度低,适合实时系统 |
三、技术逻辑解析
1. 问题背景
毫米波大规模 MIMO 多用户系统的核心优势是通过多天线空间复用提升容量,但随着用户数量增加,不同用户的信道易产生重叠,导致用户间干扰加剧,反而限制容量提升。同时,传统混合波束赋形算法要么未考虑用户间干扰(仅追求单用户接收功率),要么采用高复杂度全局优化(如全维度穷举),难以兼顾性能与实时性。
2. 算法核心思路
(1)用户分组:降低干扰耦合
-
依据 “信道相关性” 分组:将信道特性相似(相关性强)的用户归为一组,使组内用户干扰主要集中在组内,组间用户因信道差异大,干扰天然较低,从而将高维的 “全局干扰优化” 转化为低维的 “组内干扰优化”,大幅降低计算复杂度。
-
引入 “相关性阈值”:避免分组过细(导致组数量过多,增加组间协调成本)或过粗(组内用户过多,干扰仍严重),通过阈值控制每组用户数量,平衡干扰抑制与复杂度。
(2)波束赋形向量选择:兼顾容量与复杂度
-
组内 “低维穷举”:每组内用户数量少(因分组优化),采用穷举算法遍历所有可能的波束赋形向量,可确保组内容量接近最优,且低维场景下穷举复杂度可控(远低于全局穷举)。
-
引入 “贪心算法”:选择后一组的波束赋形向量时,考虑前序组向量的干扰影响,避免后组选择的向量与前组向量产生新的强干扰,实现组间干扰的间接抑制,最终提升系统整体和速率。
⛳️ 运行结果

📣 部分代码
数
group=cell(K/2,1); %%%% 最多K/2组
Ms= [40;60;80;100;120]; %天线数
SNR_db = 10; %信噪比的设置
SNR = 10.^(SNR_db./10);
rate_group = zeros(length(Ms), 1);
rate_zf = zeros(length(Ms), 1);
rate_gre=zeros(length(Ms), 1);
rate_ma=zeros(length(Ms), 1);
rate_hunhe = zeros(length(Ms), 1);
for Loop = 1:length(Ms) %信噪比循环
Nr = Ms(Loop, 1);
for Loop_1 = 1 : N %循环次数
col=Nr;
%%%%%%%% 信道的建立
fai = zeros(K,N_cl*N_ray); %%%% 角度矩阵
for kk=1:K
fai_1=2*pi*rand(N_cl,1);
for ii=1:N_cl
mu=fai_1(ii,1); %均值
sigma=0.1; %标准差,方差的开平方
b=sigma/sqrt(2); %根据标准差求相应的b
a=rand(N_ray,1)-0.5;
x=b*sign(a).*log(1-2*abs(a)); %生成符合拉普拉斯分布的随机数列
for jj=1:N_ray
🔗 参考文献
Recommended citation: 'Y. Ding and A. Hu, "Grouping optimization based hybrid beamforming for multiuser MmWave massive MIMO systems," in Proc. 2019 IEEE 2nd Int. Conf. Comput. Commun. Eng. Technology(CCET), Beijing, China, pp. 203-207, Aug. 2019.'
🎈 部分理论引用网络文献,若有侵权联系博主删除
👇 关注我领取海量matlab电子书和数学建模资料
🏆团队擅长辅导定制多种科研领域MATLAB仿真,助力科研梦:
🌟 各类智能优化算法改进及应用
生产调度、经济调度、装配线调度、充电优化、车间调度、发车优化、水库调度、三维装箱、物流选址、货位优化、公交排班优化、充电桩布局优化、车间布局优化、集装箱船配载优化、水泵组合优化、解医疗资源分配优化、设施布局优化、可视域基站和无人机选址优化、背包问题、 风电场布局、时隙分配优化、 最佳分布式发电单元分配、多阶段管道维修、 工厂-中心-需求点三级选址问题、 应急生活物质配送中心选址、 基站选址、 道路灯柱布置、 枢纽节点部署、 输电线路台风监测装置、 集装箱调度、 机组优化、 投资优化组合、云服务器组合优化、 天线线性阵列分布优化、CVRP问题、VRPPD问题、多中心VRP问题、多层网络的VRP问题、多中心多车型的VRP问题、 动态VRP问题、双层车辆路径规划(2E-VRP)、充电车辆路径规划(EVRP)、油电混合车辆路径规划、混合流水车间问题、 订单拆分调度问题、 公交车的调度排班优化问题、航班摆渡车辆调度问题、选址路径规划问题、港口调度、港口岸桥调度、停机位分配、机场航班调度、泄漏源定位、冷链、时间窗、多车场等、选址优化、港口岸桥调度优化、交通阻抗、重分配、停机位分配、机场航班调度、通信上传下载分配优化
🌟 机器学习和深度学习时序、回归、分类、聚类和降维
2.1 bp时序、回归预测和分类
2.2 ENS声神经网络时序、回归预测和分类
2.3 SVM/CNN-SVM/LSSVM/RVM支持向量机系列时序、回归预测和分类
2.4 CNN|TCN|GCN卷积神经网络系列时序、回归预测和分类
2.5 ELM/KELM/RELM/DELM极限学习机系列时序、回归预测和分类
2.6 GRU/Bi-GRU/CNN-GRU/CNN-BiGRU门控神经网络时序、回归预测和分类
2.7 ELMAN递归神经网络时序、回归\预测和分类
2.8 LSTM/BiLSTM/CNN-LSTM/CNN-BiLSTM/长短记忆神经网络系列时序、回归预测和分类
2.9 RBF径向基神经网络时序、回归预测和分类
2.10 DBN深度置信网络时序、回归预测和分类
2.11 FNN模糊神经网络时序、回归预测
2.12 RF随机森林时序、回归预测和分类
2.13 BLS宽度学习时序、回归预测和分类
2.14 PNN脉冲神经网络分类
2.15 模糊小波神经网络预测和分类
2.16 时序、回归预测和分类
2.17 时序、回归预测预测和分类
2.18 XGBOOST集成学习时序、回归预测预测和分类
2.19 Transform各类组合时序、回归预测预测和分类
方向涵盖风电预测、光伏预测、电池寿命预测、辐射源识别、交通流预测、负荷预测、股价预测、PM2.5浓度预测、电池健康状态预测、用电量预测、水体光学参数反演、NLOS信号识别、地铁停车精准预测、变压器故障诊断
🌟图像处理方面
图像识别、图像分割、图像检测、图像隐藏、图像配准、图像拼接、图像融合、图像增强、图像压缩感知
🌟 路径规划方面
旅行商问题(TSP)、车辆路径问题(VRP、MVRP、CVRP、VRPTW等)、无人机三维路径规划、无人机协同、无人机编队、机器人路径规划、栅格地图路径规划、多式联运运输问题、 充电车辆路径规划(EVRP)、 双层车辆路径规划(2E-VRP)、 油电混合车辆路径规划、 船舶航迹规划、 全路径规划规划、 仓储巡逻、公交车时间调度、水库调度优化、多式联运优化
🌟 无人机应用方面
无人机路径规划、无人机控制、无人机编队、无人机协同、无人机任务分配、无人机安全通信轨迹在线优化、车辆协同无人机路径规划、
🌟 通信方面
传感器部署优化、通信协议优化、路由优化、目标定位优化、Dv-Hop定位优化、Leach协议优化、WSN覆盖优化、组播优化、RSSI定位优化、水声通信、通信上传下载分配
🌟 信号处理方面
信号识别、信号加密、信号去噪、信号增强、雷达信号处理、信号水印嵌入提取、肌电信号、脑电信号、信号配时优化、心电信号、DOA估计、编码译码、变分模态分解、管道泄漏、滤波器、数字信号处理+传输+分析+去噪、数字信号调制、误码率、信号估计、DTMF、信号检测
🌟电力系统方面
微电网优化、无功优化、配电网重构、储能配置、有序充电、MPPT优化、家庭用电、电/冷/热负荷预测、电力设备故障诊断、电池管理系统(BMS)SOC/SOH估算(粒子滤波/卡尔曼滤波)、 多目标优化在电力系统调度中的应用、光伏MPPT控制算法改进(扰动观察法/电导增量法)、电动汽车充放电优化、微电网日前日内优化、储能优化、家庭用电优化、供应链优化
🌟 元胞自动机方面
交通流 人群疏散 病毒扩散 晶体生长 金属腐蚀
🌟 雷达方面
卡尔曼滤波跟踪、航迹关联、航迹融合、SOC估计、阵列优化、NLOS识别
🌟 车间调度
零等待流水车间调度问题NWFSP 、 置换流水车间调度问题PFSP、 混合流水车间调度问题HFSP 、零空闲流水车间调度问题NIFSP、分布式置换流水车间调度问题 DPFSP、阻塞流水车间调度问题BFSP
👇

被折叠的 条评论
为什么被折叠?



