✅作者简介:热爱科研的Matlab仿真开发者,擅长数据处理、建模仿真、程序设计、完整代码获取、论文复现及科研仿真。
🍎 往期回顾关注个人主页:Matlab科研工作室
🍊个人信条:格物致知,完整Matlab代码获取及仿真咨询内容私信。
🔥 内容介绍
智能交通系统中,多车协同自适应巡航控制(CACC) 是保障车队行驶安全、提升道路通行效率的核心技术 —— 无论是前车加减速的协同响应,还是车距的动态调整,都需要通过精准的模型预测控制(MPC)算法与代码逻辑实现。你提供的 MATLAB 代码正是这一技术的工程落地载体,涵盖了参数初始化、多车 MPC 控制、约束判断、仿真结果输出等关键功能。本文将逐模块解析代码逻辑,关联 CACC 系统理论,并解读仿真结果的工程意义,为算法优化与实际应用提供技术参考。
一、代码整体框架:从 “参数定义” 到 “仿真输出” 的全流程设计
该代码采用 “分层协同” 设计,从参数初始化到最终绘图输出,形成完整的多车 CACC 仿真闭环,整体结构可分为 6 个核心模块,对应多车协同巡航的技术需求:
| 模块功能 | 代码段落范围 | 核心作用 | 关联 CACC 理论 |
| 环境与参数初始化 | 第 1-88 行(clc/clear 至 initial_control 赋值) | 定义仿真时间、车辆参数、MPC 权重及初始状态 | CACC 系统初始条件设定(车距、速度等) |
| 输入信号预处理 | 第 89-98 行(input1_a 计算) | 处理前车加速度信号,适配仿真时间步长 | 车辆动力学输入信号的时序匹配 |
| 2 号车 MPC 控制逻辑 | 第 100-223 行(2nd car (CACC) 循环) | 基于前车信号计算 2 号车最优控制输入 | 单车 MPC 的目标函数与约束求解 |
| 3 号车 MPC 控制逻辑 | 第 225-426 行(3rd car 循环) | 基于 2 号车输出计算 3 号车最优控制输入 | 多车协同的级联式 MPC 控制 |
| 5 号车 MPC 控制逻辑 | 第 428-643 行(5th car 循环) | 基于 3 号车输出计算 5 号车最优控制输入 | 异构车辆(不同参数)的 MPC 适配 |
| 仿真结果更新与可视化 | 第 645-835 行(overall_update 至 figure 绘图) | 更新车辆状态并输出 jerk、速度、车距等结果 | CACC 系统性能的多维度评估 |
这种结构的优势在于:通过 “前车 - 2 号车 - 3 号车 - 5 号车” 的级联控制,实现多车协同响应,同时每个车辆的 MPC 参数(如c_jerk、c_control)可独立调整,贴合实际交通中 “不同车辆动力学特性差异” 的需求,仿真时间步长Time_int=0.1s兼顾计算效率与实时性。
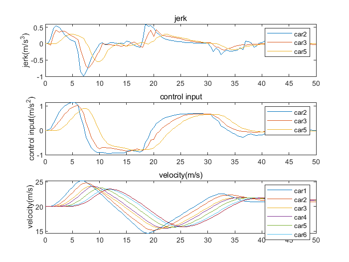
⛳️ 运行结果



📣 部分代码
clear all
clc
Ts=0.01; % this is the delay/ sampling time, we can change one
load('input7_b')
input1(30100:60001)=input1(30100:60001)*0.55;
ur=input1;
%time_g=0:0.001:60;
set(hfigure0, 'Position', [0 0 350 225])
norm_control_2=norm(Control_rec1(:,3));
norm_control_1=norm(Control_rec1(:,2));
norm_control_3=norm(Control_rec1(:,5));
norm_jerk_1=norm(Jerk_rec1(:,1));
norm_jerk_2=norm(Jerk_rec1(:,2));
norm_jerk_3=norm(Jerk_rec1(:,4));
norm_interd_1=norm(Interd_rec1(:,1));
norm_interd_2=norm(Interd_rec1(:,2));
norm_interd_3=norm(Interd_rec1(:,4));
ABX=AX+BX;
index=[1,2,4];
for k=1:3
y_a(k,:)=Interd_rec1(:,index(k));
x_a(k,:)=Interv_rec1(:,index(k));
j=0;
r=0;
for i=1:91
SDV1=((y_a(k,i)-AX)/CX2).^2;
CLDV1=((y_a(k,i)-AX)/CLDVCX).^2;
OPDV1=CLDV1*OPDVmult;
if (OPDV1<=x_a(k,i))&&(x_a(k,i)<=SDV1)&&(y_a(k,i)>=ABX)&&(y_a(k,i)<SDX)
j=j+1; %within the unconscious area
else
r=r+1;
end
end
count_in(k)=j;
count_out(k)=r;
end
🔗 参考文献
🎈 部分理论引用网络文献,若有侵权联系博主删除
👇 关注我领取海量matlab电子书和数学建模资料
🏆团队擅长辅导定制多种科研领域MATLAB仿真,助力科研梦:
🌟 各类智能优化算法改进及应用
生产调度、经济调度、装配线调度、充电优化、车间调度、发车优化、水库调度、三维装箱、物流选址、货位优化、公交排班优化、充电桩布局优化、车间布局优化、集装箱船配载优化、水泵组合优化、解医疗资源分配优化、设施布局优化、可视域基站和无人机选址优化、背包问题、 风电场布局、时隙分配优化、 最佳分布式发电单元分配、多阶段管道维修、 工厂-中心-需求点三级选址问题、 应急生活物质配送中心选址、 基站选址、 道路灯柱布置、 枢纽节点部署、 输电线路台风监测装置、 集装箱调度、 机组优化、 投资优化组合、云服务器组合优化、 天线线性阵列分布优化、CVRP问题、VRPPD问题、多中心VRP问题、多层网络的VRP问题、多中心多车型的VRP问题、 动态VRP问题、双层车辆路径规划(2E-VRP)、充电车辆路径规划(EVRP)、油电混合车辆路径规划、混合流水车间问题、 订单拆分调度问题、 公交车的调度排班优化问题、航班摆渡车辆调度问题、选址路径规划问题、港口调度、港口岸桥调度、停机位分配、机场航班调度、泄漏源定位、冷链、时间窗、多车场等、选址优化、港口岸桥调度优化、交通阻抗、重分配、停机位分配、机场航班调度、通信上传下载分配优化
🌟 机器学习和深度学习时序、回归、分类、聚类和降维
2.1 bp时序、回归预测和分类
2.2 ENS声神经网络时序、回归预测和分类
2.3 SVM/CNN-SVM/LSSVM/RVM支持向量机系列时序、回归预测和分类
2.4 CNN|TCN|GCN卷积神经网络系列时序、回归预测和分类
2.5 ELM/KELM/RELM/DELM极限学习机系列时序、回归预测和分类
2.6 GRU/Bi-GRU/CNN-GRU/CNN-BiGRU门控神经网络时序、回归预测和分类
2.7 ELMAN递归神经网络时序、回归\预测和分类
2.8 LSTM/BiLSTM/CNN-LSTM/CNN-BiLSTM/长短记忆神经网络系列时序、回归预测和分类
2.9 RBF径向基神经网络时序、回归预测和分类
2.10 DBN深度置信网络时序、回归预测和分类
2.11 FNN模糊神经网络时序、回归预测
2.12 RF随机森林时序、回归预测和分类
2.13 BLS宽度学习时序、回归预测和分类
2.14 PNN脉冲神经网络分类
2.15 模糊小波神经网络预测和分类
2.16 时序、回归预测和分类
2.17 时序、回归预测预测和分类
2.18 XGBOOST集成学习时序、回归预测预测和分类
2.19 Transform各类组合时序、回归预测预测和分类
方向涵盖风电预测、光伏预测、电池寿命预测、辐射源识别、交通流预测、负荷预测、股价预测、PM2.5浓度预测、电池健康状态预测、用电量预测、水体光学参数反演、NLOS信号识别、地铁停车精准预测、变压器故障诊断
🌟图像处理方面
图像识别、图像分割、图像检测、图像隐藏、图像配准、图像拼接、图像融合、图像增强、图像压缩感知
🌟 路径规划方面
旅行商问题(TSP)、车辆路径问题(VRP、MVRP、CVRP、VRPTW等)、无人机三维路径规划、无人机协同、无人机编队、机器人路径规划、栅格地图路径规划、多式联运运输问题、 充电车辆路径规划(EVRP)、 双层车辆路径规划(2E-VRP)、 油电混合车辆路径规划、 船舶航迹规划、 全路径规划规划、 仓储巡逻、公交车时间调度、水库调度优化、多式联运优化
🌟 无人机应用方面
无人机路径规划、无人机控制、无人机编队、无人机协同、无人机任务分配、无人机安全通信轨迹在线优化、车辆协同无人机路径规划、
🌟 通信方面
传感器部署优化、通信协议优化、路由优化、目标定位优化、Dv-Hop定位优化、Leach协议优化、WSN覆盖优化、组播优化、RSSI定位优化、水声通信、通信上传下载分配
🌟 信号处理方面
信号识别、信号加密、信号去噪、信号增强、雷达信号处理、信号水印嵌入提取、肌电信号、脑电信号、信号配时优化、心电信号、DOA估计、编码译码、变分模态分解、管道泄漏、滤波器、数字信号处理+传输+分析+去噪、数字信号调制、误码率、信号估计、DTMF、信号检测
🌟电力系统方面
微电网优化、无功优化、配电网重构、储能配置、有序充电、MPPT优化、家庭用电、电/冷/热负荷预测、电力设备故障诊断、电池管理系统(BMS)SOC/SOH估算(粒子滤波/卡尔曼滤波)、 多目标优化在电力系统调度中的应用、光伏MPPT控制算法改进(扰动观察法/电导增量法)、电动汽车充放电优化、微电网日前日内优化、储能优化、家庭用电优化、供应链优化
🌟 元胞自动机方面
交通流 人群疏散 病毒扩散 晶体生长 金属腐蚀
🌟 雷达方面
卡尔曼滤波跟踪、航迹关联、航迹融合、SOC估计、阵列优化、NLOS识别
🌟 车间调度
零等待流水车间调度问题NWFSP 、 置换流水车间调度问题PFSP、 混合流水车间调度问题HFSP 、零空闲流水车间调度问题NIFSP、分布式置换流水车间调度问题 DPFSP、阻塞流水车间调度问题BFSP
👇

被折叠的 条评论
为什么被折叠?



