✅作者简介:热爱科研的Matlab仿真开发者,擅长数据处理、建模仿真、程序设计、完整代码获取、论文复现及科研仿真。
🍎 往期回顾关注个人主页:Matlab科研工作室
🍊个人信条:格物致知,完整Matlab代码及仿真咨询内容私信。
🔥 内容介绍
一、引言
随着科技的飞速发展,车辆互联性已成为当今交通领域的重要趋势。互联汽车(Connected Vehicles, CVs)通过车对车(Vehicle-to-Vehicle, V2V)和车对基础设施(Vehicle-to-Infrastructure, V2I)通信技术,能够实时获取丰富的交通信息,这为增强道路安全、改善乘坐舒适性、提高交通效率和能源效率开辟了新的可能性。通过这些通信技术,CVs 得以更准确、更广泛地感知周围环境,从而为驾驶者提供更全面的决策依据,极大地提升了驾驶体验与交通系统的整体效能。
在众多新型汽车技术中,燃料电池混合动力汽车(Fuel Cell Hybrid Electric Vehicles, FCHEVs)凭借其独特优势,成为汽车电气化进程中的关键发展方向。燃料电池汽车(Fuel Cell Vehicles, FCVs)以其高效、节能、近乎零污染的显著特点,在全球倡导绿色出行与可持续发展的大背景下,备受瞩目。而 FCHEVs 作为 FCVs 的重要分支,不仅继承了燃料电池的卓越性能,还引入了包括电池在内的多种能源组成的混合动力系统。这种创新的动力配置使得 FCHEVs 在能源利用上更加灵活高效,能更好地适应复杂多变的行驶工况。
混合动力汽车的能源消耗在很大程度上取决于能源管理策略(Energy Management Strategy, EMS),该策略负责决定不同能源之间的分配比例,以实现最佳的性能与能耗平衡。对于 FCHEVs 而言,其生态驾驶涉及到更为复杂的能源管理问题,相较于单一能源的车辆,如内燃机汽车(Internal Combustion Engine Vehicles, ICEV)和电池电动汽车(Battery Electric Vehicles, BEV),需要协调多种能源的协同工作,这无疑增加了优化的难度与挑战。
在城市交通中,信号交叉口是影响车辆能源消耗和行驶效率的关键因素之一。车辆频繁地在信号交叉口启停、加减速,不仅浪费大量能源,还会导致交通拥堵加剧,尾气排放增加。因此,研究互联燃料电池混合动力汽车通过信号交叉口的生态驾驶策略具有重要的现实意义。通过合理规划车速和优化能源管理,可以有效减少车辆在信号交叉口的能源消耗,降低尾气排放,同时提高交通流畅性,为城市交通的可持续发展做出贡献。
双层凸优化方法作为一种有效的优化策略,为解决这一复杂问题提供了新的思路。它通过将速度规划和能源管理这两个紧密耦合的问题进行解耦,并分层求解,能够在保证优化效果的同时,显著降低计算复杂度,提高算法的实时性和实用性。上层主要负责速度规划,通过巧妙地将非线性交通灯约束转化为时变的线性状态约束,并结合平均速度的运用,将代价函数转化为易于处理的二次函数形式,从而实现对车速的精确规划,以更好地匹配信号灯的变化,减少停车等待时间。下层则专注于对燃料电池系统和电池模型进行凸化处理,进而实现高效的能源管理,根据上层规划的车速实时、合理地分配燃料电池和电池的功率,确保车辆在不同行驶工况下都能保持最佳的能源利用效率 。
综上所述,研究互联燃料电池混合动力汽车通过信号交叉口的生态驾驶双层凸优化,对于推动绿色交通发展、提高能源利用效率、缓解城市交通拥堵等方面具有重要的理论与实际价值,有望为未来智能交通系统的构建提供有力的技术支持与创新解决方案。
二、背景知识
2.1 互联燃料电池混合动力汽车
互联燃料电池混合动力汽车融合了先进的互联技术与高效的燃料电池混合动力系统,代表了汽车技术发展的前沿方向。在工作原理方面,车辆通过 V2V 和 V2I 通信技术,实时接收来自周边车辆、基础设施以及交通管理中心的信息。这些信息涵盖了交通流量、信号灯状态、道路状况等多方面内容,为车辆的智能决策提供了全面的数据支持。
从动力总成结构来看,它通常由燃料电池系统、电池组、电动机以及相关的功率转换装置构成。燃料电池系统作为主要的能量供应源,通过电化学反应将氢气和氧气转化为电能,为车辆提供持续稳定的动力输出。其工作过程中,氢气被输送到阳极,氧气(或空气)被输送到阴极,在催化剂的作用下,阳极的氢气失去电子产生氢离子和电子,电子通过外电路形成电流,为车辆提供动力,而氢离子则通过电解质膜到达阴极与氧气和电子结合生成水,这一过程实现了化学能到电能的高效转化 。
电池组则作为辅助能量源,发挥着至关重要的作用。在车辆启动、加速、爬坡等需要瞬间大功率输出的工况下,电池组能够迅速释放储存的电能,与燃料电池协同工作,为电动机提供充足的动力,确保车辆的动力性能。而在车辆减速、制动时,电动机则转变为发电机,将车辆的动能转化为电能并储存到电池组中,实现能量的回收再利用,有效提高了能源利用效率。这种能量回收机制不仅减少了能量的浪费,还降低了制动系统的磨损,延长了其使用寿命。
与传统燃油汽车相比,互联燃料电池混合动力汽车在节能减排方面具有显著优势。传统燃油汽车在燃烧化石燃料过程中会产生大量的有害气体,如一氧化碳(CO)、碳氢化合物(HC)、氮氧化物(NOx)以及颗粒物(PM)等,这些污染物是造成空气污染、酸雨以及温室效应的重要因素。而互联燃料电池混合动力汽车,在运行过程中,燃料电池以氢气为燃料,其化学反应的唯一产物是水,几乎不产生任何有害气体排放,极大地减少了对空气的污染 。此外,通过车联网技术实现的智能驾驶和能量优化管理,能够使车辆在行驶过程中更加合理地分配能量,避免不必要的能量消耗,进一步提高能源利用效率,降低能源消耗。例如,通过实时获取交通信息,车辆可以提前规划最优行驶路线,避开拥堵路段,减少怠速和频繁加减速的情况,从而降低能源消耗和尾气排放。
2.2 生态驾驶概念
生态驾驶,作为一种新兴的驾驶理念,强调在驾驶过程中综合考虑能源消耗、环境保护以及驾驶行为的优化,旨在实现车辆能源利用效率的最大化和对环境负面影响的最小化。其核心内涵在于通过改变驾驶员的驾驶习惯和采用智能驾驶技术,使车辆在行驶过程中更加节能环保。
生态驾驶对于车辆能源消耗和环境影响具有深远的重要意义。从能源消耗角度来看,不良的驾驶习惯,如急加速、急刹车、长时间怠速以及高速行驶等,都会显著增加车辆的能源消耗。以急加速为例,车辆在急加速时,发动机需要瞬间输出大量功率,这会导致燃油或电能的大量消耗,相比平稳加速,能耗可能会增加 20% - 50%。而生态驾驶倡导的平稳加速、合理换挡、保持经济车速等行为,可以使车辆发动机或动力系统始终保持在高效运行区间,从而有效降低能源消耗。研究表明,采用生态驾驶方式,车辆的能源消耗可降低 10% - 30%,这在能源日益紧张的今天,对于节约能源、缓解能源危机具有重要作用。
在环境影响方面,车辆尾气排放是大气污染的主要来源之一,其中包含的一氧化碳、碳氢化合物、氮氧化物和颗粒物等污染物,对人体健康和生态环境造成严重危害。生态驾驶通过减少能源消耗,直接降低了污染物的产生和排放。同时,避免急加速和急刹车等激烈驾驶行为,能够使发动机燃烧更加充分,减少不完全燃烧产生的污染物,进一步降低尾气排放对环境的污染。据统计,践行生态驾驶可使尾气中污染物排放量降低 15% - 40%,对于改善空气质量、保护生态环境具有积极的推动作用。
2.3 双层凸优化理论基础
双层凸优化是一种分层优化方法,由两个嵌套的凸优化问题组成,包括外层(上层)和内层(下层)。外层负责全局目标优化,旨在实现整体性能的最优,如最小化燃料消耗、最大化电池寿命或优化驾驶舒适性等,其数学模型通常被构建为凸优化问题,目标函数可表示为二次函数或线性组合的形式。例如,在优化燃料经济性时,目标函数可以是燃料电池输出功率与燃料消耗之间的函数关系,通过调整相关参数,使燃料消耗达到最小。
内层则解决局部子问题,针对各个子系统,如燃料电池、电池、电机等,通过局部凸优化来跟踪上层分配的能量需求。常用的方法包括模型预测控制(MPC)或交替方向乘子法(ADMM)等,以实现实时响应和精确控制。在燃料电池混合动力汽车中,下层优化可以根据上层规划的车速和能量需求,实时调整燃料电池和电池的输出功率,确保各子系统的高效运行。
双层凸优化在解决复杂优化问题上具有显著优势。其可分解性将复杂的全局优化问题分解为较小的子问题,降低了计算难度,使问题更容易求解。例如,在处理互联燃料电池混合动力汽车的多目标优化问题时,可以将速度规划和能源管理分别作为上层和下层问题进行求解,避免了同时处理多个复杂变量带来的计算困难。上层优化保证了整体性能的全局最优性,通过对全局目标的综合考量,能够找到在各种约束条件下的最优解。下层优化能够实时跟踪上层目标,满足车辆动态行驶过程中的实时性要求,确保系统在不同工况下都能快速、准确地做出响应。该方法还具有灵活性,可以根据不同需求和约束,灵活地调整上层和下层的目标函数和约束条件,以适应不同的应用场景和优化需求 。
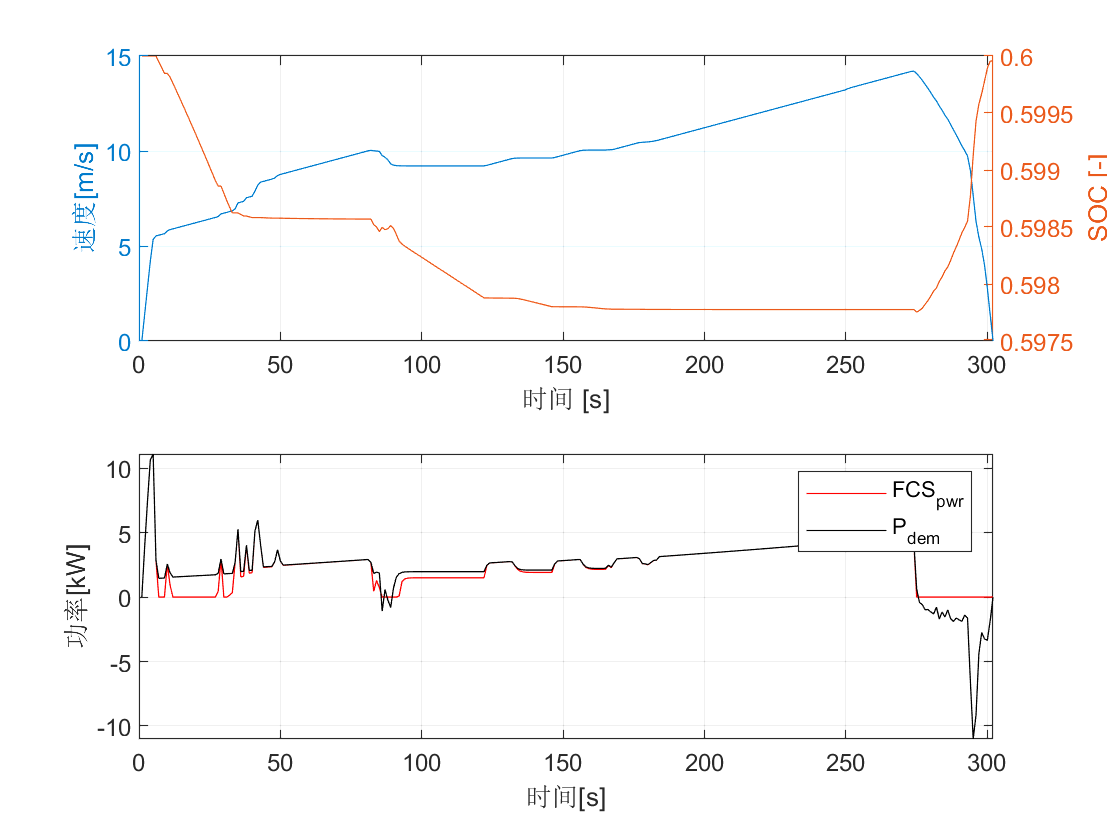
⛳️ 运行结果



📣 部分代码
🔗 参考文献
🎈 部分理论引用网络文献,若有侵权联系博主删除
👇 关注我领取海量matlab电子书和数学建模资料
🏆团队擅长辅导定制多种科研领域MATLAB仿真,助力科研梦:
🌈 各类智能优化算法改进及应用
生产调度、经济调度、装配线调度、充电优化、车间调度、发车优化、水库调度、三维装箱、物流选址、货位优化、公交排班优化、充电桩布局优化、车间布局优化、集装箱船配载优化、水泵组合优化、解医疗资源分配优化、设施布局优化、可视域基站和无人机选址优化、背包问题、 风电场布局、时隙分配优化、 最佳分布式发电单元分配、多阶段管道维修、 工厂-中心-需求点三级选址问题、 应急生活物质配送中心选址、 基站选址、 道路灯柱布置、 枢纽节点部署、 输电线路台风监测装置、 集装箱调度、 机组优化、 投资优化组合、云服务器组合优化、 天线线性阵列分布优化、CVRP问题、VRPPD问题、多中心VRP问题、多层网络的VRP问题、多中心多车型的VRP问题、 动态VRP问题、双层车辆路径规划(2E-VRP)、充电车辆路径规划(EVRP)、油电混合车辆路径规划、混合流水车间问题、 订单拆分调度问题、 公交车的调度排班优化问题、航班摆渡车辆调度问题、选址路径规划问题、港口调度、港口岸桥调度、停机位分配、机场航班调度、泄漏源定位
🌈 机器学习和深度学习时序、回归、分类、聚类和降维
2.1 bp时序、回归预测和分类
2.2 ENS声神经网络时序、回归预测和分类
2.3 SVM/CNN-SVM/LSSVM/RVM支持向量机系列时序、回归预测和分类
2.4 CNN|TCN|GCN卷积神经网络系列时序、回归预测和分类
2.5 ELM/KELM/RELM/DELM极限学习机系列时序、回归预测和分类
2.6 GRU/Bi-GRU/CNN-GRU/CNN-BiGRU门控神经网络时序、回归预测和分类
2.7 ELMAN递归神经网络时序、回归\预测和分类
2.8 LSTM/BiLSTM/CNN-LSTM/CNN-BiLSTM/长短记忆神经网络系列时序、回归预测和分类
2.9 RBF径向基神经网络时序、回归预测和分类
2.10 DBN深度置信网络时序、回归预测和分类
2.11 FNN模糊神经网络时序、回归预测
2.12 RF随机森林时序、回归预测和分类
2.13 BLS宽度学习时序、回归预测和分类
2.14 PNN脉冲神经网络分类
2.15 模糊小波神经网络预测和分类
2.16 时序、回归预测和分类
2.17 时序、回归预测预测和分类
2.18 XGBOOST集成学习时序、回归预测预测和分类
2.19 Transform各类组合时序、回归预测预测和分类
方向涵盖风电预测、光伏预测、电池寿命预测、辐射源识别、交通流预测、负荷预测、股价预测、PM2.5浓度预测、电池健康状态预测、用电量预测、水体光学参数反演、NLOS信号识别、地铁停车精准预测、变压器故障诊断
🌈图像处理方面
图像识别、图像分割、图像检测、图像隐藏、图像配准、图像拼接、图像融合、图像增强、图像压缩感知
🌈 路径规划方面
旅行商问题(TSP)、车辆路径问题(VRP、MVRP、CVRP、VRPTW等)、无人机三维路径规划、无人机协同、无人机编队、机器人路径规划、栅格地图路径规划、多式联运运输问题、 充电车辆路径规划(EVRP)、 双层车辆路径规划(2E-VRP)、 油电混合车辆路径规划、 船舶航迹规划、 全路径规划规划、 仓储巡逻
🌈 无人机应用方面
无人机路径规划、无人机控制、无人机编队、无人机协同、无人机任务分配、无人机安全通信轨迹在线优化、车辆协同无人机路径规划
🌈 通信方面
传感器部署优化、通信协议优化、路由优化、目标定位优化、Dv-Hop定位优化、Leach协议优化、WSN覆盖优化、组播优化、RSSI定位优化、水声通信、通信上传下载分配
🌈 信号处理方面
信号识别、信号加密、信号去噪、信号增强、雷达信号处理、信号水印嵌入提取、肌电信号、脑电信号、信号配时优化、心电信号、DOA估计、编码译码、变分模态分解、管道泄漏、滤波器、数字信号处理+传输+分析+去噪、数字信号调制、误码率、信号估计、DTMF、信号检测
🌈电力系统方面
微电网优化、无功优化、配电网重构、储能配置、有序充电、MPPT优化、家庭用电、电/冷/热负荷预测、电力设备故障诊断、电池管理系统(BMS)SOC/SOH估算(粒子滤波/卡尔曼滤波)、 多目标优化在电力系统调度中的应用、光伏MPPT控制算法改进(扰动观察法/电导增量法)
🌈 元胞自动机方面
交通流 人群疏散 病毒扩散 晶体生长 金属腐蚀
🌈 雷达方面
卡尔曼滤波跟踪、航迹关联、航迹融合、SOC估计、阵列优化、NLOS识别
🌈 车间调度
零等待流水车间调度问题NWFSP 、 置换流水车间调度问题PFSP、 混合流水车间调度问题HFSP 、零空闲流水车间调度问题NIFSP、分布式置换流水车间调度问题 DPFSP、阻塞流水车间调度问题BFSP
👇

被折叠的 条评论
为什么被折叠?



