作者简介:热爱科研的Matlab仿真开发者,擅长数据处理、建模仿真、程序设计、完整代码获取、论文复现及科研仿真。
🍎 往期回顾关注个人主页:Matlab科研工作室
🍊个人信条:格物致知,完整Matlab代码及仿真咨询内容私信。
🔥 内容介绍
本研究针对共享单车租赁量预测问题,构建基于分类与回归树(CART)算法的预测模型。通过收集共享单车租赁历史数据及相关环境信息,对数据进行清洗、特征工程处理后,利用 CART 算法构建回归树模型,并采用交叉验证优化模型参数。实验结果表明,CART 模型能够有效处理非线性数据,在共享单车租赁量预测中展现出良好的性能,为共享单车企业合理调度车辆、优化资源配置提供数据支撑。
关键词
CART 算法;共享单车;租赁预测;回归分析;特征工程
一、引言
共享单车作为共享经济的典型代表,极大地改变了城市居民的出行方式。然而,共享单车的运营管理面临着诸多挑战,其中精准预测租赁量是关键环节。准确的租赁量预测有助于企业合理安排车辆投放数量与位置,降低运营成本,提高用户满意度。传统预测方法如时间序列分析在处理复杂数据关系时存在局限性,而以 CART 为代表的决策树算法,能够通过构建树形结构挖掘数据特征间的非线性关系,为共享单车租赁预测提供了新的思路。本研究旨在探索 CART 算法在共享单车租赁预测中的应用效果,为共享单车行业运营优化提供理论依据。
二、相关研究
在共享单车租赁预测领域,已有不少学者尝试不同方法。早期研究多采用传统统计模型,如 ARIMA、灰色预测模型等,但这些模型对非线性数据的处理能力较弱。随着机器学习技术的发展,支持向量机(SVM)、随机森林(RF)等算法逐渐应用于租赁量预测。[学者姓名 1] 使用 SVM 模型对共享单车租赁数据进行分析,取得了一定预测效果,但 SVM 模型在高维数据处理上存在效率问题。[学者姓名 2] 运用随机森林算法进行预测,通过集成多个决策树提升了预测准确性,但模型复杂度较高。CART 算法作为决策树的经典代表,具有结构简单、可解释性强的特点,然而将其单独应用于共享单车租赁预测的研究相对较少,本研究将深入探究 CART 算法在该场景下的预测性能。
三、数据收集与预处理
3.1 数据收集
本研究采用公开的共享单车租赁数据集,如 Kaggle 平台上的 Bike Sharing Demand 数据集。该数据集包含华盛顿特区共享单车租赁历史记录,涵盖了租赁时间(年、月、日、小时)、天气状况(温度、湿度、风速、天气类型)、节假日信息、工作日标识等数据字段。同时,收集城市交通流量、周边公共交通站点分布等补充数据,丰富影响租赁量的特征维度。
3.2 数据清洗
对收集到的数据进行缺失值处理,采用均值填充数值型数据的缺失值,使用众数填充分类数据的缺失值。通过箱线图检测并处理异常值,对于明显偏离正常范围的数据进行修正或删除。检查数据中的重复记录,剔除重复样本,确保数据的唯一性和准确性。
3.3 特征工程
对分类特征进行编码处理,如采用独热编码(One-Hot Encoding)将天气类型、节假日标识等类别变量转换为数值型向量。提取时间特征,将租赁时间分解为季节、星期几、一天中的时间段等子特征,增强时间维度的信息表达。通过相关性分析,筛选出与共享单车租赁量相关性较高的特征,去除冗余特征,降低数据维度,提高模型训练效率。
四、CART 算法原理与模型构建
4.1 CART 算法原理
CART 算法是一种基于二叉树结构的非参数监督学习算法,可用于分类和回归任务。在回归问题中,CART 通过最小化均方误差(MSE)选择最优特征及分割点,将数据集递归划分为两个子节点。具体来说,对于每个特征的每个可能分割点,计算分割后两个子节点的样本均值,以最小化分割后样本与均值的误差平方和为目标,确定最优分割。当满足停止条件(如节点样本数小于阈值、误差下降幅度小于设定值等)时,停止划分,形成回归树模型。
4.2 模型构建
将预处理后的数据划分为训练集和测试集,其中训练集用于模型训练,测试集用于评估模型性能。使用 Python 中的 Scikit-learn 库实现 CART 回归模型,通过设置最大树深度、最小样本分裂数、最小叶子节点样本数等超参数,控制树的复杂度。采用 K 折交叉验证(K=5)方法优化超参数,在训练集上对不同超参数组合进行训练和验证,选择使验证集均方误差最小的参数组合构建最终模型。
五、结论与展望
5.1 结论
本研究成功将 CART 算法应用于共享单车租赁量预测,通过数据预处理和特征工程优化数据质量,利用交叉验证构建了性能良好的 CART 回归模型。实验结果表明,CART 模型在预测准确性和可解释性方面表现出色,能够有效挖掘共享单车租赁数据中的潜在规律。
5.2 展望
未来研究可从以下方面展开:一是探索将 CART 算法与其他机器学习算法(如集成学习方法)相结合,进一步提升预测精度;二是引入实时数据,实现动态预测,使模型能够及时响应市场变化;三是深入分析不同城市、不同季节共享单车租赁模式的差异,优化 CART 模型的适应性,为共享单车行业提供更精准、更具针对性的预测方案。
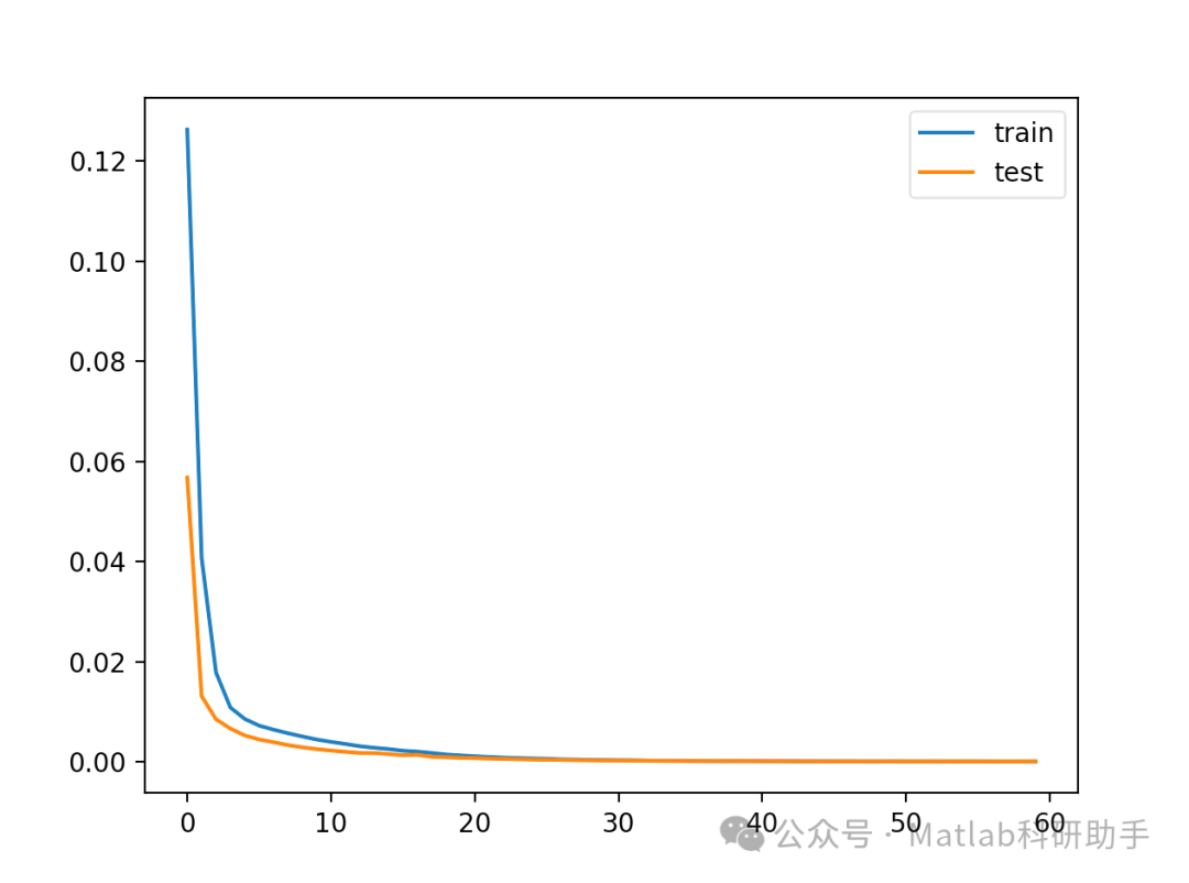
⛳️ 运行结果


🔗 参考文献
[1] 郝翊.基于多源数据的公交驾驶风险等级判别方法研究[D].华南理工大学,2021.
[2] 现代商业,Modern Business,主题报道.共享精神才能成就共享经济[J]. 2017.
[3] 孙子怡.共享单车与地铁接驳行为的时空特征及影响因素研究[D].北京交通大学,2020.
📣 部分代码
🎈 部分理论引用网络文献,若有侵权联系博主删除
👇 关注我领取海量matlab电子书和数学建模资料
🏆团队擅长辅导定制多种科研领域MATLAB仿真,助力科研梦:
🌈 各类智能优化算法改进及应用
生产调度、经济调度、装配线调度、充电优化、车间调度、发车优化、水库调度、三维装箱、物流选址、货位优化、公交排班优化、充电桩布局优化、车间布局优化、集装箱船配载优化、水泵组合优化、解医疗资源分配优化、设施布局优化、可视域基站和无人机选址优化、背包问题、 风电场布局、时隙分配优化、 最佳分布式发电单元分配、多阶段管道维修、 工厂-中心-需求点三级选址问题、 应急生活物质配送中心选址、 基站选址、 道路灯柱布置、 枢纽节点部署、 输电线路台风监测装置、 集装箱调度、 机组优化、 投资优化组合、云服务器组合优化、 天线线性阵列分布优化、CVRP问题、VRPPD问题、多中心VRP问题、多层网络的VRP问题、多中心多车型的VRP问题、 动态VRP问题、双层车辆路径规划(2E-VRP)、充电车辆路径规划(EVRP)、油电混合车辆路径规划、混合流水车间问题、 订单拆分调度问题、 公交车的调度排班优化问题、航班摆渡车辆调度问题、选址路径规划问题、港口调度、港口岸桥调度、停机位分配、机场航班调度、泄漏源定位
🌈 机器学习和深度学习时序、回归、分类、聚类和降维
2.1 bp时序、回归预测和分类
2.2 ENS声神经网络时序、回归预测和分类
2.3 SVM/CNN-SVM/LSSVM/RVM支持向量机系列时序、回归预测和分类
2.4 CNN|TCN|GCN卷积神经网络系列时序、回归预测和分类
2.5 ELM/KELM/RELM/DELM极限学习机系列时序、回归预测和分类
2.6 GRU/Bi-GRU/CNN-GRU/CNN-BiGRU门控神经网络时序、回归预测和分类
2.7 ELMAN递归神经网络时序、回归\预测和分类
2.8 LSTM/BiLSTM/CNN-LSTM/CNN-BiLSTM/长短记忆神经网络系列时序、回归预测和分类
2.9 RBF径向基神经网络时序、回归预测和分类
2.10 DBN深度置信网络时序、回归预测和分类
2.11 FNN模糊神经网络时序、回归预测
2.12 RF随机森林时序、回归预测和分类
2.13 BLS宽度学习时序、回归预测和分类
2.14 PNN脉冲神经网络分类
2.15 模糊小波神经网络预测和分类
2.16 时序、回归预测和分类
2.17 时序、回归预测预测和分类
2.18 XGBOOST集成学习时序、回归预测预测和分类
2.19 Transform各类组合时序、回归预测预测和分类
方向涵盖风电预测、光伏预测、电池寿命预测、辐射源识别、交通流预测、负荷预测、股价预测、PM2.5浓度预测、电池健康状态预测、用电量预测、水体光学参数反演、NLOS信号识别、地铁停车精准预测、变压器故障诊断
🌈图像处理方面
图像识别、图像分割、图像检测、图像隐藏、图像配准、图像拼接、图像融合、图像增强、图像压缩感知
🌈 路径规划方面
旅行商问题(TSP)、车辆路径问题(VRP、MVRP、CVRP、VRPTW等)、无人机三维路径规划、无人机协同、无人机编队、机器人路径规划、栅格地图路径规划、多式联运运输问题、 充电车辆路径规划(EVRP)、 双层车辆路径规划(2E-VRP)、 油电混合车辆路径规划、 船舶航迹规划、 全路径规划规划、 仓储巡逻
🌈 无人机应用方面
无人机路径规划、无人机控制、无人机编队、无人机协同、无人机任务分配、无人机安全通信轨迹在线优化、车辆协同无人机路径规划
🌈 通信方面
传感器部署优化、通信协议优化、路由优化、目标定位优化、Dv-Hop定位优化、Leach协议优化、WSN覆盖优化、组播优化、RSSI定位优化、水声通信、通信上传下载分配
🌈 信号处理方面
信号识别、信号加密、信号去噪、信号增强、雷达信号处理、信号水印嵌入提取、肌电信号、脑电信号、信号配时优化、心电信号、DOA估计、编码译码、变分模态分解、管道泄漏、滤波器、数字信号处理+传输+分析+去噪、数字信号调制、误码率、信号估计、DTMF、信号检测
🌈电力系统方面
微电网优化、无功优化、配电网重构、储能配置、有序充电、MPPT优化、家庭用电
🌈 元胞自动机方面
交通流 人群疏散 病毒扩散 晶体生长 金属腐蚀
🌈 雷达方面
卡尔曼滤波跟踪、航迹关联、航迹融合、SOC估计、阵列优化、NLOS识别
🌈 车间调度
零等待流水车间调度问题NWFSP 、 置换流水车间调度问题PFSP、 混合流水车间调度问题HFSP 、零空闲流水车间调度问题NIFSP、分布式置换流水车间调度问题 DPFSP、阻塞流水车间调度问题BFSP
👇
1万+

被折叠的 条评论
为什么被折叠?



