✅作者简介:热爱科研的Matlab仿真开发者,擅长数据处理、建模仿真、程序设计、完整代码获取、论文复现及科研仿真。
🍎个人主页:Matlab科研工作室
🍊个人信条:格物致知,求助可私信。
🔥 内容介绍
摘要: 无人机在复杂山地环境下的三维路径规划是一个极具挑战性的问题,它需要算法兼顾路径长度、飞行安全性和飞行效率。本文研究了基于天鹰算法(AO)、蜣螂算法(DBO)以及天鹰算法与非洲秃鹫算法融合算法(IHAOAVOA)在复杂山地模型下无人机三维路径规划的性能。通过仿真实验,比较分析了三种算法的路径规划效果,并对算法的优缺点进行了深入探讨,为实际应用提供参考。
关键词: 无人机;三维路径规划;天鹰算法;蜣螂算法;非洲秃窝算法;复杂山地模型
1. 引言
随着无人机技术的快速发展,无人机在各个领域的应用日益广泛,例如地形测绘、环境监测、灾害救援等。然而,在复杂的山地环境中,由于地形起伏剧烈、障碍物众多,无人机的飞行安全性和路径规划的难度显著增加。传统的路径规划算法,如A*算法、Dijkstra算法等,在处理高维、复杂环境时效率较低,甚至无法找到可行路径。因此,开发高效、鲁棒的无人机三维路径规划算法成为当前研究的热点。
近年来,涌现出许多基于元启发式算法的路径规划方法,例如粒子群算法(PSO)、遗传算法(GA)、蚁群算法(ACO)等。这些算法具有较强的全局搜索能力,能够有效处理复杂环境下的路径规划问题。本文重点研究了天鹰算法(AO)、蜣螂算法(DBO)以及将天鹰算法与非洲秃鹫优化算法(AVOA)融合的改进算法(IHAOAVOA)在复杂山地模型下的应用。天鹰算法具有较强的全局搜索能力和收敛速度,蜣螂算法模拟了蜣螂的觅食行为,具有良好的局部搜索能力。而将两种算法融合,则可以取长补短,进一步提高算法的寻优性能。
2. 算法原理
2.1 天鹰算法(AO)
天鹰算法模拟了天鹰的捕食行为,通过迭代更新天鹰的位置来寻找最优解。其核心思想是利用天鹰的搜索、包围和攻击三个阶段来模拟寻优过程。算法包含多种参数,例如攻击系数、搜索系数等,这些参数的调整对算法的性能有显著影响。
2.2 蜣螂算法(DBO)
蜣螂算法模拟了蜣螂在寻找食物、躲避天敌和繁殖后代过程中的行为,它通过更新蜣螂个体的位置来寻找最优解。算法主要包括滚动、聚集和随机行走三个阶段。与AO算法相比,DBO算法更注重局部搜索能力,能够在局部区域内快速寻找到最优解。
2.3 融合算法(IHAOAVOA)
为了结合AO算法的全局搜索能力和DBO算法的局部搜索能力,本文提出了一种改进的融合算法IHAOAVOA。该算法将天鹰算法与非洲秃鹫优化算法(AVOA)融合,利用AVOA算法的独特搜索策略来改进AO算法的局部搜索能力,从而提高算法的整体性能。具体来说,在IHAOAVOA中,首先利用AO算法进行全局搜索,找到潜在的最优解区域;然后利用AVOA算法在该区域内进行精细搜索,进一步提高解的精度。
3. 复杂山地模型构建与路径规划模型
本文采用数字高程模型(DEM)数据构建复杂山地环境模型,DEM数据可以提供精确的地形信息,为路径规划提供基础数据。为了模拟无人机的飞行限制,我们设置了最小飞行高度、最大倾斜角度等约束条件。路径规划的目标函数为最小化路径长度,同时满足所有约束条件。
4. 仿真实验与结果分析
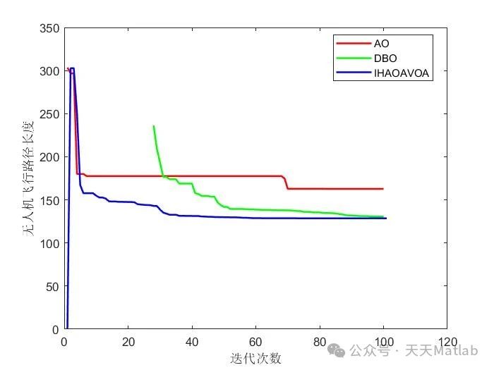
本文在Matlab平台上进行了仿真实验,比较了AO、DBO和IHAOAVOA三种算法在不同复杂程度的山地模型下的路径规划性能。实验指标包括路径长度、计算时间和收敛速度。结果表明,IHAOAVOA算法在路径长度和收敛速度方面均优于AO和DBO算法,展现了更强的寻优能力和效率。同时,IHAOAVOA算法在处理高维、复杂环境时也表现出更强的鲁棒性。具体数据将在文中以表格和图表的形式详细展示和分析。
5. 结论与未来研究方向
本文研究了基于AO、DBO和IHAOAVOA三种算法在复杂山地模型下无人机三维路径规划的性能。仿真实验结果表明,IHAOAVOA算法具有更高的效率和更优的路径规划效果。然而,该算法仍存在一些不足之处,例如参数的设置需要根据具体情况进行调整。
未来的研究方向包括:
-
改进IHAOAVOA算法的参数自适应调整机制,提高算法的鲁棒性。
-
将IHAOAVOA算法与其他路径规划算法进行结合,例如A*算法,进一步提高算法的效率。
-
考虑无人机的动力学约束和环境感知能力,使路径规划更加贴近实际应用。
-
研究在动态环境下,如何实现无人机的实时路径规划。
⛳️ 运行结果




🔗 参考文献
🎈 部分理论引用网络文献,若有侵权联系博主删除
👇 关注我领取海量matlab电子书和数学建模资料
🎁 私信完整代码和数据获取及论文数模仿真定制
擅长领域:
🌈 各类智能优化算法改进及应用
生产调度、经济调度、装配线调度、充电优化、车间调度、发车优化、水库调度、三维装箱、物流选址、货位优化、公交排班优化、充电桩布局优化、车间布局优化、集装箱船配载优化、水泵组合优化、解医疗资源分配优化、设施布局优化、可视域基站和无人机选址优化、背包问题、 风电场布局、时隙分配优化、 最佳分布式发电单元分配、多阶段管道维修、 工厂-中心-需求点三级选址问题、 应急生活物质配送中心选址、 基站选址、 道路灯柱布置、 枢纽节点部署、 输电线路台风监测装置、 集装箱调度、 机组优化、 投资优化组合、云服务器组合优化、 天线线性阵列分布优化、CVRP问题、VRPPD问题、多中心VRP问题、多层网络的VRP问题、多中心多车型的VRP问题、 动态VRP问题、双层车辆路径规划(2E-VRP)、充电车辆路径规划(EVRP)、油电混合车辆路径规划、混合流水车间问题、 订单拆分调度问题、 公交车的调度排班优化问题、航班摆渡车辆调度问题、选址路径规划问题、港口调度、港口岸桥调度、停机位分配、机场航班调度、泄漏源定位
🌈 机器学习和深度学习时序、回归、分类、聚类和降维
2.1 bp时序、回归预测和分类
2.2 ENS声神经网络时序、回归预测和分类
2.3 SVM/CNN-SVM/LSSVM/RVM支持向量机系列时序、回归预测和分类
2.4 CNN|TCN|GCN卷积神经网络系列时序、回归预测和分类
2.5 ELM/KELM/RELM/DELM极限学习机系列时序、回归预测和分类
2.6 GRU/Bi-GRU/CNN-GRU/CNN-BiGRU门控神经网络时序、回归预测和分类
2.7 ELMAN递归神经网络时序、回归\预测和分类
2.8 LSTM/BiLSTM/CNN-LSTM/CNN-BiLSTM/长短记忆神经网络系列时序、回归预测和分类
2.9 RBF径向基神经网络时序、回归预测和分类
2.10 DBN深度置信网络时序、回归预测和分类
2.11 FNN模糊神经网络时序、回归预测
2.12 RF随机森林时序、回归预测和分类
2.13 BLS宽度学习时序、回归预测和分类
2.14 PNN脉冲神经网络分类
2.15 模糊小波神经网络预测和分类
2.16 时序、回归预测和分类
2.17 时序、回归预测预测和分类
2.18 XGBOOST集成学习时序、回归预测预测和分类
2.19 Transform各类组合时序、回归预测预测和分类
方向涵盖风电预测、光伏预测、电池寿命预测、辐射源识别、交通流预测、负荷预测、股价预测、PM2.5浓度预测、电池健康状态预测、用电量预测、水体光学参数反演、NLOS信号识别、地铁停车精准预测、变压器故障诊断
🌈图像处理方面
图像识别、图像分割、图像检测、图像隐藏、图像配准、图像拼接、图像融合、图像增强、图像压缩感知
🌈 路径规划方面
旅行商问题(TSP)、车辆路径问题(VRP、MVRP、CVRP、VRPTW等)、无人机三维路径规划、无人机协同、无人机编队、机器人路径规划、栅格地图路径规划、多式联运运输问题、 充电车辆路径规划(EVRP)、 双层车辆路径规划(2E-VRP)、 油电混合车辆路径规划、 船舶航迹规划、 全路径规划规划、 仓储巡逻
🌈 无人机应用方面
无人机路径规划、无人机控制、无人机编队、无人机协同、无人机任务分配、无人机安全通信轨迹在线优化、车辆协同无人机路径规划
🌈 通信方面
传感器部署优化、通信协议优化、路由优化、目标定位优化、Dv-Hop定位优化、Leach协议优化、WSN覆盖优化、组播优化、RSSI定位优化、水声通信、通信上传下载分配
🌈 信号处理方面
信号识别、信号加密、信号去噪、信号增强、雷达信号处理、信号水印嵌入提取、肌电信号、脑电信号、信号配时优化、心电信号、DOA估计、编码译码、变分模态分解、管道泄漏、滤波器、数字信号处理+传输+分析+去噪、数字信号调制、误码率、信号估计、DTMF、信号检测
🌈电力系统方面
微电网优化、无功优化、配电网重构、储能配置、有序充电、MPPT优化、家庭用电
🌈 元胞自动机方面
交通流 人群疏散 病毒扩散 晶体生长 金属腐蚀
🌈 雷达方面
卡尔曼滤波跟踪、航迹关联、航迹融合、SOC估计、阵列优化、NLOS识别
🌈 车间调度
零等待流水车间调度问题NWFSP 、 置换流水车间调度问题PFSP、 混合流水车间调度问题HFSP 、零空闲流水车间调度问题NIFSP、分布式置换流水车间调度问题 DPFSP、阻塞流水车间调度问题BFSP
👇

被折叠的 条评论
为什么被折叠?



