✅作者简介:热爱科研的Matlab仿真开发者,修心和技术同步精进,代码获取、论文复现及科研仿真合作可私信。
🍎个人主页:Matlab科研工作室
🍊个人信条:格物致知。
更多Matlab完整代码及仿真定制内容点击👇
🔥 内容介绍
本文旨在通过明确最小化闭环响应的稳定时间,利用一类适用于该目标的方法来设计控制器。据我们所知,现有文献中所有方法都没有直接最小化稳定时间,而只是最小化相关的目标函数。实际上,稳定时间的目标函数不仅非光滑,而且是不连续的。因此,我们建议使用直接搜索方法,该方法不使用任何梯度信息。一个重要的原因是最近的结果表明,某些直接搜索方法可以保证收敛于此类不连续目标函数。所提出的方法是独立的,但也可以改进文献中现有方法获得的解决方案,这些方法可以获得良好的解决方案,但就稳定时间而言,并不是最优的。此外,这种方法非常灵活,可以适应各种目标,以及非线性系统或控制器,只要可以模拟时间响应。
1. 引言
在控制理论中,一个重要的目标是设计控制器,使系统能够在有限时间内达到稳态。稳定时间,即系统从初始条件开始到达到并保持在容许范围内的时间,是衡量控制系统性能的一个重要指标。因此,最小化稳定时间对于许多应用至关重要,例如,机器人控制、自动驾驶和过程控制。
传统上,控制器设计通常通过最小化其他性能指标,例如误差平方和或控制输入能量,间接优化稳定时间。然而,这些指标与稳定时间并不直接相关,因此可能导致次优的稳定时间性能。
2. 挑战
直接最小化稳定时间面临着一些挑战:
-
不连续性: 稳定时间是一个不连续的函数,因为它依赖于系统达到稳态的特定时刻。这使得传统的梯度下降方法难以应用,因为它们依赖于连续的目标函数。
-
非光滑性: 稳定时间函数通常是非光滑的,因为它可能包含突变点或尖峰。这些非光滑点也会给梯度下降方法带来困难。
3. 直接搜索方法
直接搜索方法是一类不使用梯度信息的优化算法。它们通过探索目标函数的搜索空间来寻找最优解。直接搜索方法已被证明在解决具有不连续和非光滑目标函数的优化问题方面非常有效。
4. 拟议的方法
本文提出了一种基于直接搜索方法的设计控制器的新方法,以明确最小化闭环系统的稳定时间。该方法通过模拟系统的时间响应来评估稳定时间,并使用直接搜索算法找到使稳定时间最小的控制器参数。
5. 优势
与现有文献中的方法相比,该方法具有以下优势:
-
直接优化稳定时间: 该方法直接最小化稳定时间,而不是间接指标。
-
处理不连续和非光滑目标函数: 直接搜索方法能够处理稳定时间目标函数的不连续和非光滑特性。
-
灵活性: 该方法可以应用于各种系统和控制器,只要可以模拟时间响应。
6. 结论
本文提出了一种基于直接搜索方法的设计控制器的新方法,以明确最小化闭环系统的稳定时间。该方法克服了现有文献中方法的局限性,并提供了优化稳定时间的有效途径。该方法具有广泛的应用潜力,并有望提高各种应用的控制系统性能。
7. 未来工作
未来的工作将集中在以下方面:
-
提高算法效率: 探索更有效的直接搜索算法,以加快优化过程。
-
处理约束: 扩展该方法以处理控制器设计中可能存在的约束。
-
应用于实际系统: 将该方法应用于实际系统,以验证其有效性。
总之,本文提出的方法为设计控制器提供了一种新颖有效的方法,以明确最小化闭环响应的稳定时间。该方法为优化控制系统性能提供了宝贵的工具,并有望在各种应用领域产生重大影响。
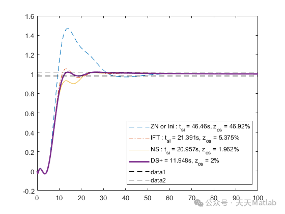
⛳️ 运行结果


🔗 参考文献
[1] Simon E .Minimum settling time control design through direct search optimization[J].Mathematics, 2011.DOI:10.48550/arXiv.1109.5966.
🎈 部分理论引用网络文献,若有侵权联系博主删除
👇 关注我领取海量matlab电子书和数学建模资料
🎁 私信完整代码和数据获取及论文数模仿真定制🌈
🌈 各类智能优化算法改进及应用
生产调度、经济调度、装配线调度、充电优化、车间调度、发车优化、水库调度、三维装箱、物流选址、货位优化、公交排班优化、充电桩布局优化、车间布局优化、集装箱船配载优化、水泵组合优化、解医疗资源分配优化、设施布局优化、可视域基站和无人机选址优化、背包问题、 风电场布局、时隙分配优化、 最佳分布式发电单元分配、多阶段管道维修、 工厂-中心-需求点三级选址问题、 应急生活物质配送中心选址、 基站选址、 道路灯柱布置、 枢纽节点部署、 输电线路台风监测装置、 集装箱调度、 机组优化、 投资优化组合、云服务器组合优化、 天线线性阵列分布优化、CVRP问题、VRPPD问题、多中心VRP问题、多层网络的VRP问题、多中心多车型的VRP问题、 动态VRP问题、双层车辆路径规划(2E-VRP)、充电车辆路径规划(EVRP)、油电混合车辆路径规划、混合流水车间问题、 订单拆分调度问题、 公交车的调度排班优化问题、航班摆渡车辆调度问题、选址路径规划问题、港口调度
🌈 机器学习和深度学习时序、回归、分类、聚类和降维
2.1 bp时序、回归预测和分类
2.2 ENS声神经网络时序、回归预测和分类
2.3 SVM/CNN-SVM/LSSVM/RVM支持向量机系列时序、回归预测和分类
2.4 CNN|TCN|GCN卷积神经网络系列时序、回归预测和分类
2.5 ELM/KELM/RELM/DELM极限学习机系列时序、回归预测和分类
2.6 GRU/Bi-GRU/CNN-GRU/CNN-BiGRU门控神经网络时序、回归预测和分类
2.7 ELMAN递归神经网络时序、回归\预测和分类
2.8 LSTM/BiLSTM/CNN-LSTM/CNN-BiLSTM/长短记忆神经网络系列时序、回归预测和分类
2.9 RBF径向基神经网络时序、回归预测和分类

被折叠的 条评论
为什么被折叠?



