1 简介



2 部分代码
%_________________________________________________________________________________% Salp Swarm Algorithm (SSA) source codes version 1.0%% Main paper:% S. Mirjalili, A.H. Gandomi, S.Z. Mirjalili, S. Saremi, H. Faris, S.M. Mirjalili,% Salp Swarm Algorithm: A bio-inspired optimizer for engineering design problems% Advances in Engineering Software% DOI: http://dx.doi.org/10.1016/j.advengsoft.2017.07.002%____________________________________________________________________________________function [FoodFitness,FoodPosition,Convergence_curve]=SSA(N,Max_iter,lb,ub,dim,fobj)if size(ub,1)==1ub=ones(dim,1)*ub;lb=ones(dim,1)*lb;endConvergence_curve = zeros(1,Max_iter);%Initialize the positions of salpsSalpPositions=initialization(N,dim,ub,lb);FoodPosition=zeros(1,dim);FoodFitness=inf;%calculate the fitness of initial salpsfor i=1:size(SalpPositions,1)SalpFitness(1,i)=fobj(SalpPositions(i,:));end[sorted_salps_fitness,sorted_indexes]=sort(SalpFitness);for newindex=1:NSorted_salps(newindex,:)=SalpPositions(sorted_indexes(newindex),:);endFoodPosition=Sorted_salps(1,:);FoodFitness=sorted_salps_fitness(1);%Main loopl=2; % start from the second iteration since the first iteration was dedicated to calculating the fitness of salpswhile l<Max_iter+1c1 = 2*exp(-(4*l/Max_iter)^2); % Eq. (3.2) in the paperfor i=1:size(SalpPositions,1)SalpPositions= SalpPositions';if i<=N/2for j=1:1:dimc2=rand();c3=rand();%%%%%%%%%%%%% % Eq. (3.1) in the paper %%%%%%%%%%%%%%if c3<0.5SalpPositions(j,i)=FoodPosition(j)+c1*((ub(j)-lb(j))*c2+lb(j));elseSalpPositions(j,i)=FoodPosition(j)-c1*((ub(j)-lb(j))*c2+lb(j));end%%%%%%%%%%%%%%%%%%%%%%%%%%%%%%%%%%%%%%%%%%%%%%%%%%%%%%endelseif i>N/2 && i<N+1point1=SalpPositions(:,i-1);point2=SalpPositions(:,i);SalpPositions(:,i)=(point2+point1)/2; % % Eq. (3.4) in the paperendSalpPositions= SalpPositions';endfor i=1:size(SalpPositions,1)Tp=SalpPositions(i,:)>ub';Tm=SalpPositions(i,:)<lb';SalpPositions(i,:)=(SalpPositions(i,:).*(~(Tp+Tm)))+ub'.*Tp+lb'.*Tm;SalpFitness(1,i)=fobj(SalpPositions(i,:));if SalpFitness(1,i)<FoodFitnessFoodPosition=SalpPositions(i,:);FoodFitness=SalpFitness(1,i);endendConvergence_curve(l)=FoodFitness;l = l + 1;end
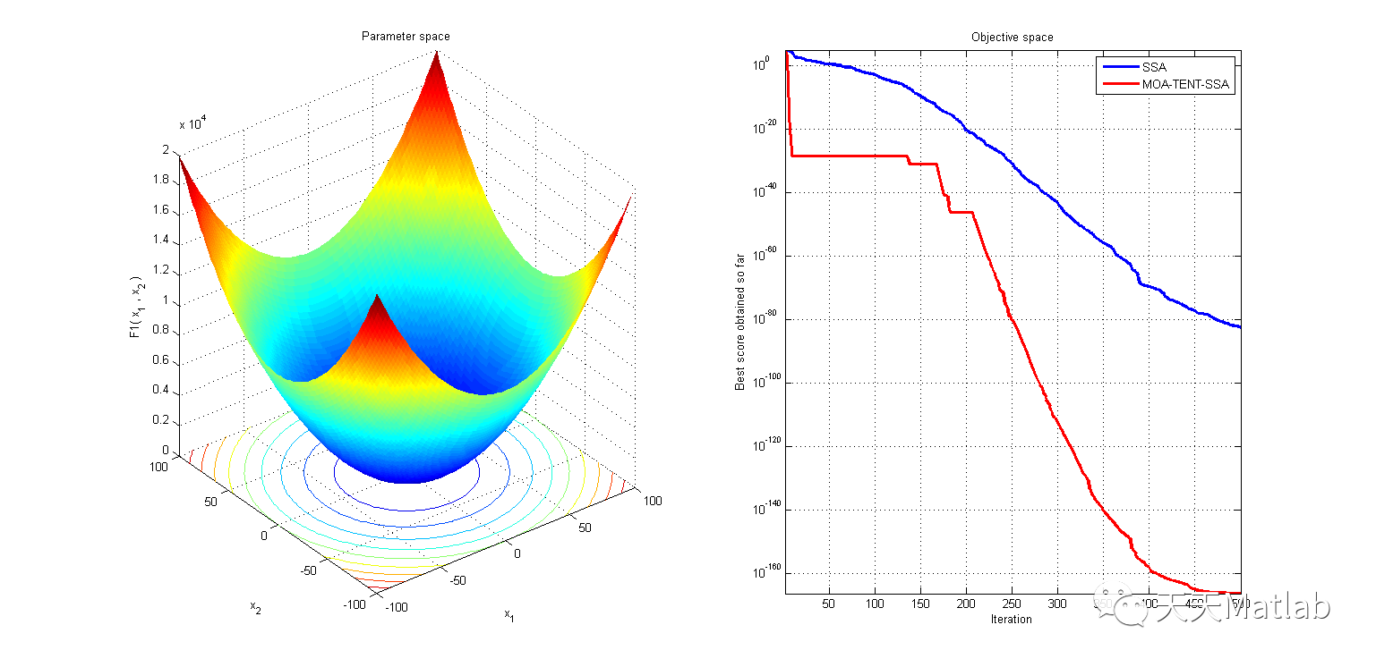
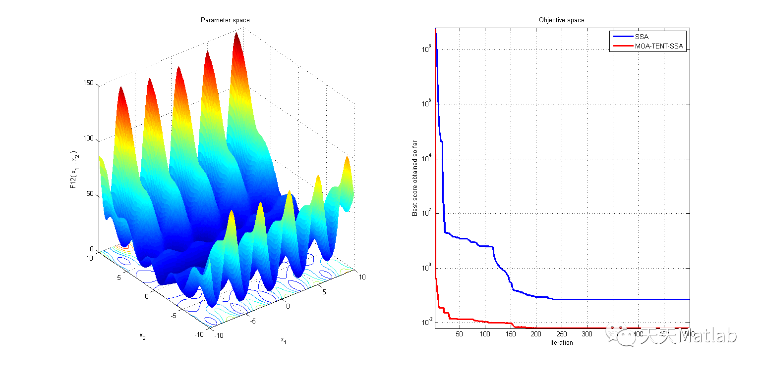
3 仿真结果


4 参考文献
[1]王建新, 李腾旭. 基于离散型麻雀搜索算法的食品抽检路径优化[J]. 中国食品卫生杂志 2021年33卷4期, 409-414页, ISTIC PKU, 2021:国家食品安全风险评估中心高层次人才队伍建设523项目.
博主简介:擅长智能优化算法、神经网络预测、信号处理、元胞自动机、图像处理、路径规划、无人机等多种领域的Matlab仿真,相关matlab代码问题可私信交流。
部分理论引用网络文献,若有侵权联系博主删除。
该博客介绍了Salp Swarm Algorithm(SSA)的MATLAB源代码实现,这是一种生物启发式的优化算法,用于解决工程设计问题。代码中详细展示了算法的主要流程,包括初始化、迭代更新及边界条件处理等步骤。通过仿真运行,可以得到优化结果。此外,文中还引用了相关文献,探讨了离散型麻雀搜索算法在食品抽检路径优化的应用。
614

被折叠的 条评论
为什么被折叠?



