✅作者简介:热爱科研的Matlab仿真开发者,擅长数据处理、建模仿真、程序设计、完整代码获取、论文复现及科研仿真。
🍎 往期回顾关注个人主页:Matlab科研工作室
🍊个人信条:格物致知,完整Matlab代码及仿真咨询内容私信。
🔥 内容介绍
本文旨在探讨利用双四旋翼飞行器系统模拟和控制缆绳机器人的动态行为。缆绳机器人作为一种特殊的机器人形态,具有重量轻、柔性好、可达性高等优点,在复杂环境中具有广泛的应用前景。然而,缆绳本身的柔性特征也给其动态建模和控制带来了巨大的挑战。本文提出一种基于双四旋翼飞行器的缆绳机器人模拟平台,并通过理论分析、数值模拟和控制策略设计,深入研究缆绳的动态特性以及双四旋翼飞行器对其的有效控制方法。该研究成果有望为真实缆绳机器人的开发和应用提供理论指导和实践基础。
关键词:四旋翼飞行器,缆绳机器人,动态模拟,控制策略,柔性结构
1. 引言
近年来,无人机技术蓬勃发展,四旋翼飞行器因其体积小、机动性高、易于操控等优点,在各个领域都得到了广泛应用。除了作为独立的飞行平台,四旋翼飞行器也逐渐被应用于复杂的机器人系统,例如多旋翼协同搬运、空中机器人协作等。其中,基于缆绳连接的多旋翼飞行器系统,更是由于其能够利用缆绳的柔性特性,在狭小空间或复杂环境中完成更加复杂的任务,而备受关注。
缆绳机器人本质上是一种柔性机器人,其动态建模和控制一直是一个具有挑战性的课题。传统缆绳机器人的控制往往依赖于地面站或固定支撑结构,限制了其应用范围。将四旋翼飞行器作为缆绳机器人的驱动和支撑平台,可以极大地提高其机动性和灵活性。然而,四旋翼飞行器的非线性、欠驱动特性,以及缆绳的柔性特性,使得基于双四旋翼飞行器的缆绳机器人的控制问题更加复杂。
本文研究的核心在于利用两个四旋翼飞行器搭建一个缆绳机器人模拟平台,深入研究缆绳的动态特性,并设计有效的控制策略,实现对缆绳的精确操控。本研究不仅可以为真实缆绳机器人的开发提供理论基础,也为基于多旋翼飞行器的复杂机器人系统的设计和控制提供借鉴。
2. 相关研究综述
缆绳机器人的研究历史悠久,早期的研究主要集中在静态建模和控制上。随着计算机技术的发展,研究者开始关注缆绳的动态特性,并提出了多种动态建模方法。这些方法可以大致分为两种:集总参数法和有限元法。集总参数法将缆绳离散为一系列的质点和弹簧,从而将连续的缆绳动态转化为离散的质点系统动力学问题。这种方法计算效率高,易于实现,但精度相对较低。有限元法则将缆绳视为连续体,利用有限元方法求解缆绳的偏微分方程,精度较高,但计算复杂度也较高。
在缆绳控制方面,传统的方法主要依赖于地面站或固定支撑结构,通过控制缆绳的张力或长度来实现对缆绳的控制。例如,起重机就是一种典型的缆绳机器人。然而,这些方法的应用范围受到很大的限制。
将四旋翼飞行器应用于缆绳机器人的研究,是一个新兴的研究方向。目前的研究主要集中在以下几个方面:
- 基于单四旋翼飞行器的缆绳机器人:
这种系统通常将四旋翼飞行器作为缆绳机器人的端部执行器,用于抓取、搬运或探测目标物体。控制的关键在于精确控制四旋翼飞行器的姿态和位置,以及预测缆绳的动态变化。
- 基于多四旋翼飞行器的缆绳机器人:
这种系统利用多个四旋翼飞行器协同驱动缆绳,可以实现更加复杂的任务。控制的难点在于如何协调多个四旋翼飞行器的运动,以及如何处理缆绳的柔性特性。
目前,针对基于双四旋翼飞行器的缆绳机器人,研究还相对较少。本文旨在填补这一空白,深入研究基于双四旋翼飞行器的缆绳机器人的动态特性和控制策略。
3. 系统建模
3.1 四旋翼飞行器动力学模型
本文采用经典的四旋翼飞行器动力学模型。假设四旋翼飞行器为刚体,忽略空气动力学效应和电机动态,
四旋翼飞行器的控制输入通常为四个电机的转速。通过调节四个电机的转速,可以控制四旋翼飞行器的推力和力矩。
3.2 缆绳动力学模型
本文采用集总参数法对缆绳进行建模。将缆绳离散为n个质点,每个质点通过弹簧和阻尼连接。假设缆绳是均匀的,每个质点的质量为m_c = M/n,其中M为缆绳的总质量。
- 重力:
F_{gi} = m_c * g - 弹簧力:
F_{si} = k * (||r_{i+1} - r_i|| - l_0) * (r_{i+1} - r_i) / ||r_{i+1} - r_i|| + k * (||r_{i-1} - r_i|| - l_0) * (r_{i-1} - r_i) / ||r_{i-1} - r_i||,其中k为弹簧的刚度系数,l_0为弹簧的原始长度。 - 阻尼力:
F_{di} = c * (dot{r}_{i+1} - dot{r}_i) + c * (dot{r}_{i-1} - dot{r}_i),其中c为阻尼系数。
3.3 系统整体模型
将四旋翼飞行器和缆绳的动力学模型进行耦合,可以得到系统整体的动力学模型。耦合的关键在于将缆绳的末端与四旋翼飞行器连接。本文假设缆绳的两个端点分别固定在两个四旋翼飞行器的质心位置。
4. 控制策略设计
4.1 四旋翼飞行器控制
本文采用基于PID控制的四旋翼飞行器姿态和位置控制方法。姿态控制采用串级PID控制,先控制角速度,再控制姿态角。位置控制也采用串级PID控制,先控制速度,再控制位置。
4.2 缆绳控制
缆绳控制的目标是控制缆绳的形状和位置。本文提出一种基于力矩分配的缆绳控制方法。该方法通过控制两个四旋翼飞行器产生的力矩,来控制缆绳的张力和形状。
具体来说,首先需要定义一个期望的缆绳形状。然后,计算出实现该期望形状所需的力矩。最后,将力矩分配给两个四旋翼飞行器,并通过控制四旋翼飞行器的推力和力矩,来实现对缆绳的精确控制。
4.3 协同控制
为了实现对缆绳的精确控制,需要对两个四旋翼飞行器进行协同控制。协同控制的目标是协调两个四旋翼飞行器的运动,使其能够共同完成对缆绳的控制任务。
本文采用一种基于集中式控制的协同控制方法。该方法将两个四旋翼飞行器视为一个整体,并设计一个整体的控制器。该控制器可以根据系统的状态和目标,统一控制两个四旋翼飞行器的运动。
5. 数值模拟
为了验证本文提出的模型和控制策略的有效性,本文进行了数值模拟。数值模拟采用Matlab进行。在数值模拟中,本文首先对四旋翼飞行器和缆绳的动力学模型进行离散化,然后利用数值积分方法求解系统的动力学方程。
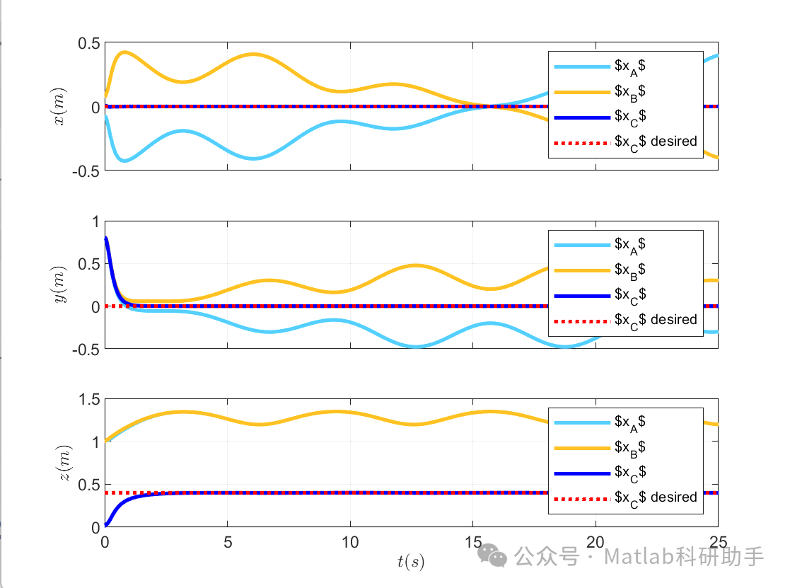
数值模拟结果表明,本文提出的模型能够准确地模拟缆绳的动态特性。同时,本文提出的控制策略能够有效地控制缆绳的形状和位置。
5.1 仿真参数设定
-
四旋翼飞行器:质量 (m): 1kg, 转动惯量 (J): [0.01 0 0; 0 0.01 0; 0 0 0.02] kg·m²
-
缆绳:总质量 (M): 0.1kg, 长度: 2m, 质点数量 (n): 10, 刚度系数 (k): 100 N/m, 阻尼系数 (c): 0.1 N·s/m
-
控制器参数:PID参数根据经验和仿真结果进行调整,以达到最佳控制效果。
5.2 仿真结果分析
仿真结果显示,通过控制两个四旋翼飞行器的姿态和推力,可以实现对缆绳位置和形状的有效控制。例如,可以通过调整两个四旋翼飞行器的高度,改变缆绳的弧度;可以通过调整两个四旋翼飞行器的相对位置,改变缆绳的方向。
6. 结论与展望
本文提出了一种基于双四旋翼飞行器的缆绳机器人模拟平台,并通过理论分析、数值模拟和控制策略设计,深入研究了缆绳的动态特性以及双四旋翼飞行器对其的有效控制方法。研究结果表明,本文提出的模型和控制策略能够有效地模拟和控制缆绳的动态行为。
未来的研究方向包括:
- 提高模型的精度:
可以考虑采用更加精细的缆绳模型,例如有限元模型,以提高模拟的精度。
- 设计更加鲁棒的控制策略:
可以考虑采用鲁棒控制方法,例如滑模控制,以提高控制系统的鲁棒性。
- 考虑环境干扰:
可以考虑环境干扰的影响,例如风干扰,以提高控制系统的实用性。
- 实现自主导航:
可以考虑将视觉导航、激光雷达等传感器信息融合到控制系统中,实现自主导航。
⛳️ 运行结果


🔗 参考文献
[1] 李颖.拖曳缆绳反悬链方程及在拖曳锚运动模型中的应用[D].天津大学,2010.DOI:10.7666/d.y1925227.
[2] 熊俊.系泊及安装缆绳在海床中三维构形和输力规律的理论研究[D].天津大学,2019.
[3] 李铭军.半潜式风电安装平台水动力性能研究[D].江苏科技大学,2023.
📣 部分代码
🎈 部分理论引用网络文献,若有侵权联系博主删除
👇 关注我领取海量matlab电子书和数学建模资料
🏆团队擅长辅导定制多种科研领域MATLAB仿真,助力科研梦:
🌈 各类智能优化算法改进及应用
生产调度、经济调度、装配线调度、充电优化、车间调度、发车优化、水库调度、三维装箱、物流选址、货位优化、公交排班优化、充电桩布局优化、车间布局优化、集装箱船配载优化、水泵组合优化、解医疗资源分配优化、设施布局优化、可视域基站和无人机选址优化、背包问题、 风电场布局、时隙分配优化、 最佳分布式发电单元分配、多阶段管道维修、 工厂-中心-需求点三级选址问题、 应急生活物质配送中心选址、 基站选址、 道路灯柱布置、 枢纽节点部署、 输电线路台风监测装置、 集装箱调度、 机组优化、 投资优化组合、云服务器组合优化、 天线线性阵列分布优化、CVRP问题、VRPPD问题、多中心VRP问题、多层网络的VRP问题、多中心多车型的VRP问题、 动态VRP问题、双层车辆路径规划(2E-VRP)、充电车辆路径规划(EVRP)、油电混合车辆路径规划、混合流水车间问题、 订单拆分调度问题、 公交车的调度排班优化问题、航班摆渡车辆调度问题、选址路径规划问题、港口调度、港口岸桥调度、停机位分配、机场航班调度、泄漏源定位
🌈 机器学习和深度学习时序、回归、分类、聚类和降维
2.1 bp时序、回归预测和分类
2.2 ENS声神经网络时序、回归预测和分类
2.3 SVM/CNN-SVM/LSSVM/RVM支持向量机系列时序、回归预测和分类
2.4 CNN|TCN|GCN卷积神经网络系列时序、回归预测和分类
2.5 ELM/KELM/RELM/DELM极限学习机系列时序、回归预测和分类
2.6 GRU/Bi-GRU/CNN-GRU/CNN-BiGRU门控神经网络时序、回归预测和分类
2.7 ELMAN递归神经网络时序、回归\预测和分类
2.8 LSTM/BiLSTM/CNN-LSTM/CNN-BiLSTM/长短记忆神经网络系列时序、回归预测和分类
2.9 RBF径向基神经网络时序、回归预测和分类
2.10 DBN深度置信网络时序、回归预测和分类
2.11 FNN模糊神经网络时序、回归预测
2.12 RF随机森林时序、回归预测和分类
2.13 BLS宽度学习时序、回归预测和分类
2.14 PNN脉冲神经网络分类
2.15 模糊小波神经网络预测和分类
2.16 时序、回归预测和分类
2.17 时序、回归预测预测和分类
2.18 XGBOOST集成学习时序、回归预测预测和分类
2.19 Transform各类组合时序、回归预测预测和分类
方向涵盖风电预测、光伏预测、电池寿命预测、辐射源识别、交通流预测、负荷预测、股价预测、PM2.5浓度预测、电池健康状态预测、用电量预测、水体光学参数反演、NLOS信号识别、地铁停车精准预测、变压器故障诊断
🌈图像处理方面
图像识别、图像分割、图像检测、图像隐藏、图像配准、图像拼接、图像融合、图像增强、图像压缩感知
🌈 路径规划方面
旅行商问题(TSP)、车辆路径问题(VRP、MVRP、CVRP、VRPTW等)、无人机三维路径规划、无人机协同、无人机编队、机器人路径规划、栅格地图路径规划、多式联运运输问题、 充电车辆路径规划(EVRP)、 双层车辆路径规划(2E-VRP)、 油电混合车辆路径规划、 船舶航迹规划、 全路径规划规划、 仓储巡逻
🌈 无人机应用方面
无人机路径规划、无人机控制、无人机编队、无人机协同、无人机任务分配、无人机安全通信轨迹在线优化、车辆协同无人机路径规划
🌈 通信方面
传感器部署优化、通信协议优化、路由优化、目标定位优化、Dv-Hop定位优化、Leach协议优化、WSN覆盖优化、组播优化、RSSI定位优化、水声通信、通信上传下载分配
🌈 信号处理方面
信号识别、信号加密、信号去噪、信号增强、雷达信号处理、信号水印嵌入提取、肌电信号、脑电信号、信号配时优化、心电信号、DOA估计、编码译码、变分模态分解、管道泄漏、滤波器、数字信号处理+传输+分析+去噪、数字信号调制、误码率、信号估计、DTMF、信号检测
🌈电力系统方面
微电网优化、无功优化、配电网重构、储能配置、有序充电、MPPT优化、家庭用电
🌈 元胞自动机方面
交通流 人群疏散 病毒扩散 晶体生长 金属腐蚀
🌈 雷达方面
卡尔曼滤波跟踪、航迹关联、航迹融合、SOC估计、阵列优化、NLOS识别
🌈 车间调度
零等待流水车间调度问题NWFSP 、 置换流水车间调度问题PFSP、 混合流水车间调度问题HFSP 、零空闲流水车间调度问题NIFSP、分布式置换流水车间调度问题 DPFSP、阻塞流水车间调度问题BFSP
👇
双四旋翼飞行器推动缆绳机器人动态模拟与控制
557

被折叠的 条评论
为什么被折叠?



