整体思路:从总体中随机抽取随机样本来估计总体的未知数据特征
参数估计分两种方法:点估计和区间估计
一、点估计
定义:用样本的某个取值代替总体的某个取值水平
二、区间估计
定义:在点估计的基础上,给定一个区间范围

(一)、一个总体参数的区间估计
- 总体均值的区间估计
在对总体均值进行区间估计的时候,一般考虑三点:样本是否为正态分布、总体方差是否一致,样本是否为大样本(大于等于30即为大样本)
第一种情况:正态总体,方差已知,或者非正态总体,大样本

第二种情况:正态总体,方差未知,小样本

- 总体比例的区间估计
只讨论大样本比例问题

- 总体方差的区间估计
只讨论正态总体的方差估计

总结如下:

(二)、两个总体参数的区间估计
-
两个总体均值之差的区间估计
分独立样本、匹配样本 -
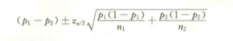
两个样本比例之差得区间估计

-
两个样本方差比的区间估计
直接用F分布就能直接计算
总结如下:

这篇博客主要介绍了统计学中参数估计的概念,包括点估计和区间估计。点估计是用样本的某个值来代替总体参数,而区间估计则给出一个包含总体参数的可能范围。对于一个总体参数的区间估计,分别探讨了总体均值、比例和方差的估计条件和方法。此外,还讲解了两个总体参数的区间估计,如均值差、比例差和方差比的估计。
6650

被折叠的 条评论
为什么被折叠?



