FM调制解调
前言
和幅度调制不同,角度调制是将信号m(t)信息包含到发送信号S(t)的相位上的一种手段(而幅度调制是将信息包含到幅值上)。
角度调制有两种方式,一种是相位调制(phase modulation——PM),一种是频率调制(frequency modulation——FM),也就是我们所说的调相和调频。
接下来主要介绍调频(FM)
FM调制原理
先看公式:

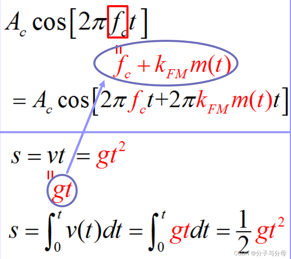
载波频率为fc,FM调制信号Sfm(t)由余弦信号Accos(2pifct) 在相位中加上消息信号m(t)积分乘以2piKfm后得到。
观察发现,如果对相位进行微分,则得到

也就是说,消息信号m(t)被放在了频率中,所以这种调制方法叫做调频。
那么就自然衍生出来一个问题:
如果直接将m(t)放在fi(t)中,然后加到cos上不好吗?为什么要积分呢?

类比自由落体中距离的计算,虽然速度v等于gt,但是距离并不是gt^2,同理,虽然频率是fc+kfmm(t),但是相位并不是直接乘以t。
所以需要积分
(可能解释的不清楚,大家可以看李晓峰老师的mooc——

最低0.47元/天 解锁文章
1万+





