反转链表
给你一个链表,两两交换其中相邻的节点,并返回交换后链表的头节点。你必须在不修改节点内部的值的情况下完成本题(即,只能进行节点交换)。
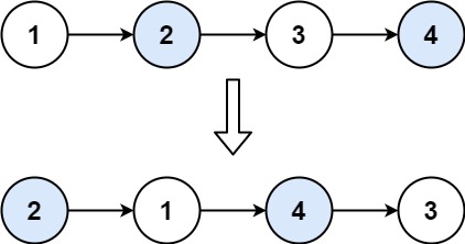
示例 1:

递归的解题思路:
首先解决特殊情(递归的终止条件)。然后就把函数当做已经实现完毕功能的函数,然后从宏观上进行实现,可以完成递归。
class Solution {
public:
ListNode* swapPairs(ListNode* head) {
if (head == nullptr || head->next == nullptr){
return head;
}
ListNode *newhaed = head -> next;
head->next = swapPairs(newhaed->next); //此时当成,以newhead->next 为头节点的链表已经完成反转。
newhaed->next = head;
return newhaed;
}
};
931

被折叠的 条评论
为什么被折叠?



