LeetCode二叉树中序遍历
1.1 题目描述
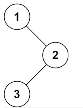
给定一个二叉树的根节点 root ,返回它的 中序 遍历。
1.2 示例
示例:

输入:root = [1,null,2,3]
输出:[1,3,2]
2.1 解题
2.1.1 解题方法:递归
二叉树的中序遍历方法:按照“左(子树)→中→右”顺序遍,可以使用递归方式进行遍历Java版解题
/**
* Definition for a binary tree node.
* public class TreeNode {
* int val;
* TreeNode left;
* TreeNode right;
* TreeNode() {}
* TreeNode(int val) { this.val = val; }
* TreeNode(int val, TreeNode left, TreeNode right) {
* this.val = val;
* this.left = left;
* this.right = right;
* }
* }
*/
class Solution {
public List<Integer> inorderTraversal(TreeNode root) {
List<Integer> res = new ArrayList<>();
inorder(root, res);
return res;
}
void inorder(TreeNode root, List<Integer> list) {
if (root == null) {
return;
}
inorder(root.left, list); //逐层遍历当前节点所有左子树
list.add(root.val); //将节点值按顺序存入集合中
inorder(root.right, list);
}
}
解题结果

扩展
前序遍历(中→左→右)
class Solution {
public List<Integer> inorderTraversal(TreeNode root) {
List<Integer> res = new ArrayList<>();
inorder(root, res);
return res;
}
void inorder(TreeNode root, List<Integer> list) {
if (root == null) {
return;
}
list.add(root.val); // 注意这一句
inorder(root.left, list);
inorder(root.right, list);
}
}
后序遍历(左→右→中)
class Solution {
public List<Integer> postorderTraversal(TreeNode root) {
List<Integer> res = new ArrayList<>();
postorder(root, res);
return res;
}
void postorder(TreeNode root, List<Integer> list) {
if (root == null) {
return;
}
postorder(root.left, list);
postorder(root.right, list);
list.add(root.val); // 注意这一句
}
}
这篇博客详细介绍了如何使用递归方法实现二叉树的中序遍历,并给出了Java代码实现。同时,扩展了前序遍历和后序遍历的递归实现,帮助理解不同遍历顺序的逻辑差异。
1183

被折叠的 条评论
为什么被折叠?



