随机动态规划问题的特点是:
- 有多个阶段,每个阶段的随机性互不相关,且有有限个实现值 (finite realizations)
- 具有马尔可夫性质,即每个阶段只受上一个阶段影响,可以用状态转移方程来描述阶段与阶段之间的变化过程。
我们使用julia的SDDP算法包来求解随机动态规划问题。
1. 入门案例:LinearPolicyGraph
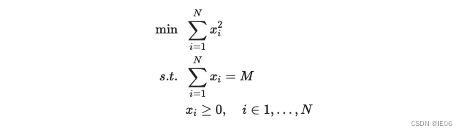
看一个简单的数值优化的例子:

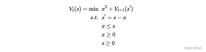
我们将其建立为一个N阶段的问题:

初始值为M。
使用SDDP.jl进行求解:
using SDDP
import Ipopt
M, N = 5, 3
model = SDDP.LinearPolicyGraph(
stages = N,
lower_bound = 0.0,
optimizer = Ipopt.Optimizer,
) do subproblem, node
@variable(subproblem, s >= 0, SDDP.State, initial_value = M)
@variable(subproblem, x >= 0)
@stageobjective(subproblem, x^2)
@constraint(subproblem, x <= s.in)
@constraint(subproblem, s.out == s.in - x)
if node == N
fix(s.out, 0.0; force = true)
end
return
end
SDDP.train(model)
println(SDDP.calculate_bound(model))
simulations = SDDP.simulate(model, 1, [:x])
for data in simulations[1]
println("x_$(data[:node_index]) = $(data[:x])")
end
结果为
8.333333297473812
x_1 = 1.6666655984419778
x_2 = 1.6666670256548375
x_3 = 1.6666673693365108
非常接近理论最优值。
2 报童模型:加入随机变量
报童每天早上进一批报纸,需求有个大致的数,但是并不确定。那么报童要进多少报纸合适?
变量如下:
- 报纸成本c,零售价v
- 残值s,缺货损失p
- 需求为随机变量x,概率密度为f
- 决策变量为订货量Q
- 目标函数为max(利润-成本),假如x>Q,则利润=vQ,成本=cQ+p(x-Q)
- 最佳订货量Q满足到Q的概率积分=(v+p-c)/(v+p-s),推倒过程这里忽略
.我们缺货无损失,残值为0,零售价30.5,订货价20.5,则最佳订货量满足积分=0.328。若f为均值300,方差50的正态分布函数,则最佳订货量 = -0.445*50+300 = 278
我们使用Julia进行求解,首先要将正态分布离散化:
using Distributions,StatsPlots
D = Distributions.Normal(300,50)
N = 1000
d = rand(D, N)
P = fill(1 / N, N)
StatsPlots.histogram(d; bins = 80, label = "", xlabel = "Demand")

接下来是一个trick,这里是先决策再实现随机变量,因此把问题建成两阶段的模型,第一阶段决策为购买量u_make,第二阶段实现随机变量ω,随后决策为销售量u_sell。
模型如下:
using SDDP, HiGHS
model = SDDP.LinearPolicyGraph(;
stages = 2,
sense = :Max,
upper_bound = 20 * maximum(d), # The `M` in θ <= M
optimizer = HiGHS.Optimizer,
) do subproblem::JuMP.Model, stage::Int
@variable(subproblem, x >= 0, SD

本文介绍了如何使用Julia的SDDP算法包解决随机动态规划问题,包括线性策略图示例、报童模型的随机需求优化、水力和火力发电调度,以及探索迷宫和牛奶制造的决策制定,展示了SDDP在处理随机环境下的决策问题中的应用。
最低0.47元/天 解锁文章
818

被折叠的 条评论
为什么被折叠?



