贝叶斯分类器中的涉及到的数学知识基本上是概率论与数理统计,其计算步骤倒是不难,西瓜书上的公式表示可能让人没有看下去的欲望,博主最开始学的时候也就是直接拿个例子计算一遍,然后再去看看西瓜书上的公式。贝叶斯中的核心计算公式就是条件概率的计算公式。
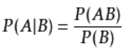
先看看条件概率的计算公式:

上面这个公式指的是事件A在事件B发生的条件下发生的概率。同理:P(B|A) = P(AB)/P(A)。这样上面也可以写成
。
接下来,我们直接看个例子,以西瓜书上的例子来看:

使用以上数据集作为训练集来训练贝叶斯分类器。 现在来了一个新的数据:

本文介绍了贝叶斯分类器的工作原理,重点在于条件概率的计算。通过一个西瓜分类的例子,详细解释了如何利用训练集计算不同属性条件下好瓜的概率,并涉及了离散属性和连续属性的处理,包括高斯分布的应用。
最低0.47元/天 解锁文章
9186

被折叠的 条评论
为什么被折叠?



