原博客英文版地址:
http://www.songho.ca/opengl/gl_projectionmatrix.html
-------------------------------------------------------------------------------------------------------------------------------------------------------------------------
翻译如下:
相关话题:OpenGL Transformation
- 概述
- 透视投影
- 正交投影
更新:MathML 版本在这里 here
-------------------------------------------------------------------------------------------------------------------------------------------------------------------------概述
计算机显示器是2D表面。必须将OpenGL渲染的3D场景作为2D图像投影到计算机屏幕上。GL_PROJECTION矩阵用于此投影变换。首先,它将所有顶点数据从视点坐标转换为剪切坐标。然后,通过用剪切坐标的w分量划分,这些剪切坐标也被变换为标准化设备坐标(NDC)。

被视椎体夹住的三角形
因此,我们必须记住,剪切(视锥体剔除)和NDC变换都集成到GL_PROJECTION矩阵中。以下部分描述了如何从6个参数构建投影矩阵,这6个参数分别是: 左,右,底,顶,近和远的边界值。
注意,在除以
之前,在剪切坐标中执行视椎体剔除(剪切)。剪切坐标
和
通过和
比较,如果任何剪辑坐标小于
或大于
,则该顶点将被丢弃。 也就是![]()
然后,OpenGL将在剪切发生的地方重建多边形边缘。
需要解释的名词:视锥体(frustum),是指场景中摄像机的可见的一个锥体范围。它有上、下、左、右、近、远,共6个面组成。在视锥体内的景物可见,反之则不可见。为提高性能,只对其中与视锥体有交集的对象进行绘制。
-------------------------------------------------------------------------------------------------------------------------------------------------------------------------
透视投影
在透视投影中,截断的金字塔视椎体(视点坐标)中的3D点被映射到立方体(NDC); x坐标范围从[l,r]到[-1,1],y坐标范围从[b,t]到[-1,1],z坐标范围从[-n,-f]到[-1,1]。

请注意,视点坐标是在右手坐标系中定义的,但NDC使用左手坐标系。也就是说,在视点空间中,原点的相机是沿着-z轴看的,但它在NDC中沿着+ Z轴看。由于glFrustum()只接受近(near)及远(far)的距离是正值,所以我们在构建GL_PROJECTION矩阵的时候需要消除它们的区别。
在OpenGL中,视点空间中的3D点被投影到近平面(投影平面)上。下图显示了视点空间中的点
如何投影到近平面上的
。

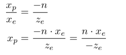
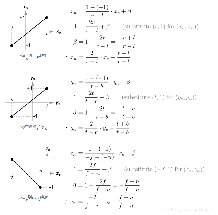
从视椎体的顶视图可以看出,视点空间的x坐标,x e被映射到x p,其通过使用相似三角形的比率来计算;

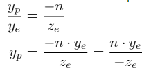
从视椎体的侧视图可以看出,视点空间的y坐标,yp也是通过相似三角形计算的;

注意,x p和y p都取决于z e ; 它们与-z e成反比。换句话说,它们都被-z e除以。这是构建GL_PROJECTION矩阵的第一条线索。在通过乘以GL_PROJECTION矩阵变换视点坐标之后,裁剪坐标(剪切坐标)仍然是齐次坐标。通过除以w分量,它最终变为归一化设备坐标(NDC)。

因此,我们可以将裁剪坐标的w分量设置为-z e。并且,GL_PROJECTION矩阵的第4个向量变为(0,0,-1,0)。

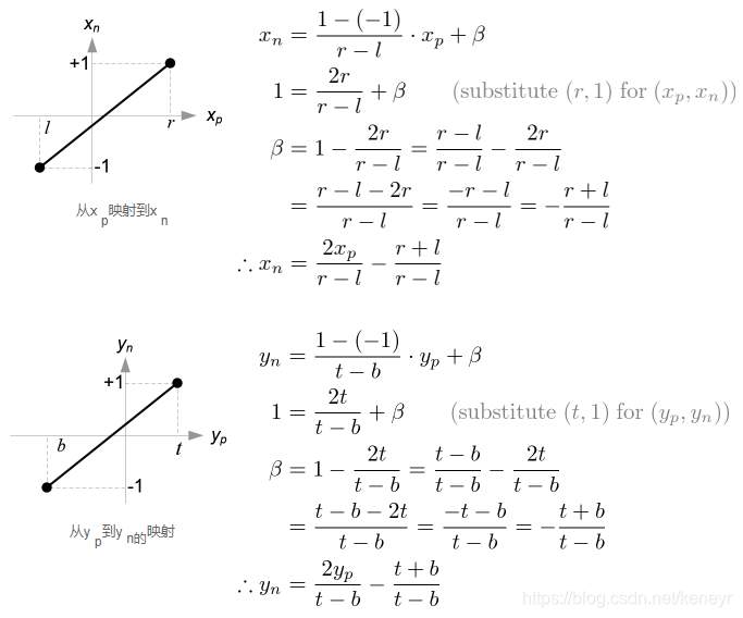
接下来,我们将x p和y p映射到具有线性关系的NDC的x n和y n ;[l,r]⇒[-1,1]和[b,t]⇒[-1,1]。

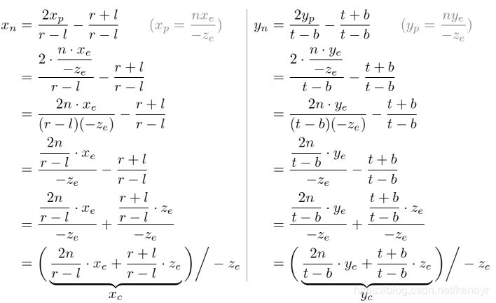
然后,我们将x p和y p代入上述方程式

注意,我们使每个方程的两个项都可被-z e整除以用于透视分割(x c / w c,y c / w c)。我们之前将w c设置为-z e,括号内的项变为裁剪坐标的x c和y c。
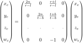
从这些方程式中,我们可以找到GL_PROJECTION矩阵的第1行和第2行。

现在,我们只有第3行的GL_PROJECTION矩阵亟待解决。寻找z n与其他略有不同,因为视点空间中的z e总是被投射到近平面上的-n。但是我们需要唯一z值用于剪切和深度测试。另外,我们应该能够取消投影(逆变换)。由于我们知道z不依赖于x或y值,因此我们借用w分量来找到z n和z e之间的关系。因此,我们可以这样指定GL_PROJECTION矩阵的第3行。

在视点空间中,w e=1.因此,等式变为;

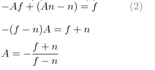
为了找到系数A和B,我们使用(z e,z n)关系; (-n,-1)和(-f,1),并将它们放入上面的等式中。

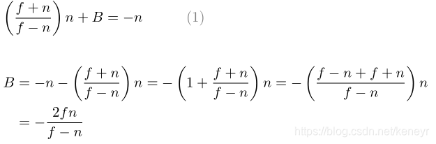
为了求解A和B的等式,重写B的等式(1);
![]()
将方程(1')代入方程(2)中的B,然后求解A;

将A放入方程(1)中以找到B ;

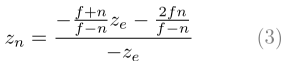
我们发现A和B,因此ze和zn的关系变成:

最终,我们发现GL_PROJECTION矩阵的所有值,完整的投影矩阵是

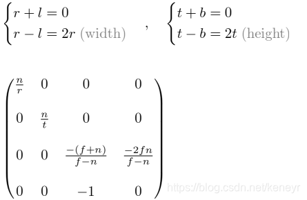
该投影矩阵用于一般的视椎体。如果观看体积是对称的,这是
和
,那么它可以被简化为;

在我们继续之前,请再次看一下z e和z n,eq。(3)之间的关系。您注意到它是一个有理函数,并且是z e和z n之间的非线性关系。这意味着近平面的精度非常高,但远平面的精度非常低。如果范围[-n,-f]越来越大,则会导致深度精度问题(z-fighting); 远平面周围的z e的小变化不会影响z n值。n和f之间的距离应尽可能短,以最小化深度缓冲精度问题。

-------------------------------------------------------------------------------------------------------------------------------------------------------------------------
正交投影
构造用于正投影的GL_PROJECTION矩阵比透视模式简单得多。
视点空间中的 所有x e,y e和z e分量线性映射到NDC。我们只需要将矩形体积缩放到立方体,然后将其移动到原点。让我们使用线性关系找出GL_PROJECTION的元素。


由于正交投影不需要w分量,因此GL_PROJECTION矩阵的第4行保持为(0,0,0,1)。因此,正交投影的完整GL_PROJECTION矩阵是

它可以进一步简化,如果观察体是对称的,
和
。

本文深入解析OpenGL中的透视投影和正交投影,详细介绍了如何利用六个关键参数构建投影矩阵,实现三维场景向二维屏幕的投影变换。文章探讨了视锥体、剪切坐标、标准化设备坐标的概念,以及投影矩阵在视椎体剔除和深度测试中的作用。
4464

被折叠的 条评论
为什么被折叠?



