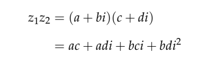
1、复数相乘表示两个矩阵相乘


2、v向量逆时针旋转θ角度得到v’

用复数表示


3、欧拉公式表示的两向量相乘

未完待续…
姿态角四元数插值笔记
最新推荐文章于 2024-12-03 11:57:58 发布
这篇博客探讨了复数如何表示两个矩阵的相乘,以及如何利用复数来描述一个向量按逆时针方向旋转θ角度的过程。此外,还介绍了欧拉公式在计算两向量相乘时的角色,揭示了复数和几何变换之间的紧密联系。
3481

被折叠的 条评论
为什么被折叠?



