本文重点
在数据分析和概率统计中,方差是衡量随机变量离散程度的核心指标。它不仅揭示了数据围绕均值的波动规律,更在金融风险评估、质量控制、机器学习等领域发挥着关键作用。
方差的性质
- 设c是常数, 则 Var(c) = 0
- 若 k 是常数,则 Var(kX) = k²Var(X),这个性质说明了将随机变量的取值扩大k倍,那么方差就会扩大k²倍。
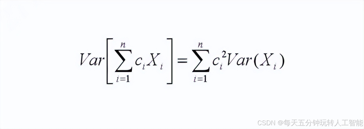
- 若X1与X2 相互独立,则Var(X1±X2) = Var(X1) +Var(X2),注意只有加没有减了,可推广为:若X1, X2, …, Xn相互独立,则:

- Var(X) = 0 P{X= c }=1,这里 c = E(X)。这个意思是说若方差为0,那么这个随机变量恒等于c,然后均值也是c
常见分布的方差
两点分布
若 X ~ B(1, p),则 Var(X) = p(1-p)
二项分布
若 X ~ B(n, p),则 Var(X) = n p(1-p)
泊松分布
若 X ~ P(λ),则 Var(X) = λ
订阅专栏 解锁全文
1275

被折叠的 条评论
为什么被折叠?



