本文重点
在机器学习和统计建模中,回归模型是一类用于预测连续值输出的重要工具。为了评估回归模型的性能,我们需要一系列的评价指标来衡量模型预测结果与实际值之间的差异。这些指标不仅帮助我们了解模型的准确性,还指导我们如何优化模型以达到更好的预测效果。
回归模型
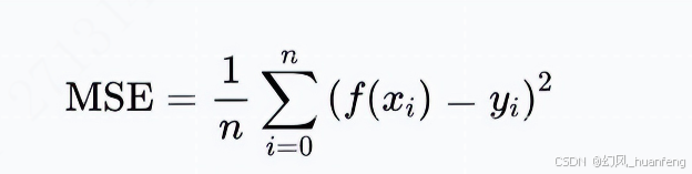
均方误差

均方误差是指预测值与标签之差平方的期望值,MSE可以评价数据的变化程度,MSE的值越小,说明预测模型描述实验数据具有更好的精确度。
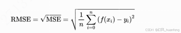
均方根误差

定义:MSE的平方根。
MSE类似,但具有与原始数据相同的量纲,便于理解
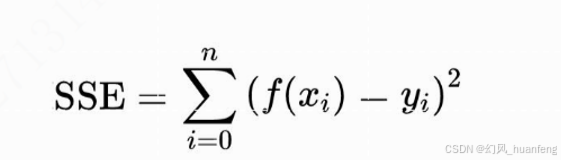
和方误差

MA
本文探讨了机器学习中回归和分类模型的评价指标。对于回归模型,涉及均方误差(MSE)、均方根误差、平均绝对误差(MAE)和决定系数等。分类模型的评估则包括准确率、召回率、查准率、F1值以及ROC和P-R曲线。这些指标用于衡量模型预测的精度和效果。
订阅专栏 解锁全文
1389






