P5018 [NOIP 2018 普及组] 对称二叉树
题目背景
NOIP2018 普及组 T4
题目描述
一棵有点权的有根树如果满足以下条件,则被轩轩称为对称二叉树:
- 二叉树;
- 将这棵树所有节点的左右子树交换,新树和原树对应位置的结构相同且点权相等。
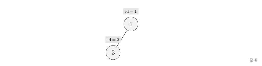
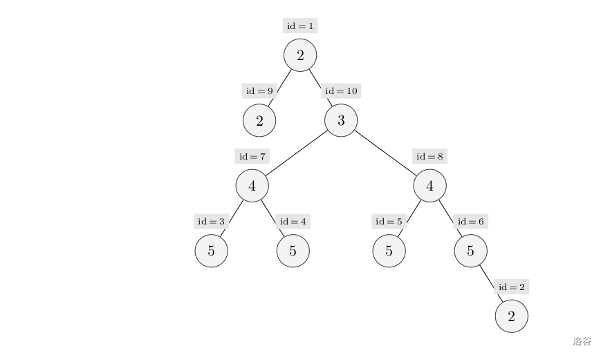
下图中节点内的数字为权值,节点外的 ididid 表示节点编号。

现在给出一棵二叉树,希望你找出它的一棵子树,该子树为对称二叉树,且节点数最多。请输出这棵子树的节点数。
注意:只有树根的树也是对称二叉树。本题中约定,以节点 TTT 为子树根的一棵“子 树”指的是:节点TTT 和它的全部后代节点构成的二叉树。
输入格式
第一行一个正整数 nnn,表示给定的树的节点的数目,规定节点编号 1∼n1 \sim n1∼n,其中节点 111 是树根。
第二行 nnn 个正整数,用一个空格分隔,第 iii 个正整数 viv_ivi 代表节点 iii 的权值。
接下来 nnn 行,每行两个正整数 li,ril_i, r_ili,ri,分别表示节点 iii 的左右孩子的编号。如果不存在左 / 右孩子,则以 −1-1−1 表示。两个数之间用一个空格隔开。
输出格式
输出文件共一行,包含一个整数,表示给定的树的最大对称二叉子树的节点数。
输入输出样例 #1
输入 #1
2
1 3
2 -1
-1 -1
输出 #1
1
输入输出样例 #2
输入 #2
10
2 2 5 5 5 5 4 4 2 3
9 10
-1 -1
-1 -1
-1 -1
-1 -1
-1 2
3 4
5 6
-1 -1
7 8
输出 #2
3
说明/提示
样例 1 解释

最大的对称二叉子树为以节点 222 为树根的子树,节点数为 111。
样例 2 解释

最大的对称二叉子树为以节点 777 为树根的子树,节点数为 333。
数据规模与约定
共 252525 个测试点。
vi≤1000v_i ≤ 1000vi≤1000。
- 测试点 1∼3,n≤101 \sim 3, n ≤ 101∼3,n≤10,保证根结点的左子树的所有节点都没有右孩子,根结点的右 子树的所有节点都没有左孩子。
- 测试点 4∼8,n≤104 \sim 8, n ≤ 104∼8,n≤10。
- 测试点 9∼12,n≤1059 \sim 12, n ≤ 10^59∼12,n≤105,保证输入是一棵“满二叉树” 。
- 测试点 13∼16,n≤10513 \sim 16, n ≤ 10^513∼16,n≤105,保证输入是一棵“完全二叉树”。
- 测试点 17∼20,n≤10517 \sim 20, n ≤ 10^517∼20,n≤105,保证输入的树的点权均为 111。
- 测试点 21∼25,n≤10621 \sim 25, n ≤ 10^621∼25,n≤106。
本题约定:
层次:节点的层次从根开始定义起,根为第一层,根的孩子为第二层。树中任一节 点的层次等于其父亲节点的层次加 111。
树的深度:树中节点的最大层次称为树的深度。
满二叉树:设二叉树的深度为 hhh,且二叉树有 2h−12^h-12h−1 个节点,这就是满二叉树。

完全二叉树:设二叉树的深度为 hhh,除第 hhh 层外,其它各层的结点数都达到最大 个数,第 hhh 层所有的结点都连续集中在最左边,这就是完全二叉树。

题解
#include "bits/stdc++.h"
using namespace std;
const int N = 1e6+7;
int n, maxn = 1, s[N];
struct Node{//节点权重,左右子节点编号
int l, r, v;
}a[N];
bool issame(int x, int y){// 以x为节点的子树是否对称
// int ll = a[x].l, rr = a[x].r;
if(x == -1 && y == -1) {//x没有子节点,是对称的
return true;
}
if(x == -1 || y == -1) return false;//只有一端有子节点,不对称
if(a[x].v != a[y].v) {//左右子节点权重不同,不对称
return false;
}
if(issame(a[x].l, a[y].r) && issame(a[x].r, a[y].l)) return true;
//左子树的左子树 vs 右子树的右子树,左子树的右子树 vs 右子树的左子树
return false;
}
int size(int x){//以x为节点的子树大小
if(x == -1) return 0;
return 1 + size(a[x].l) + size(a[x].r);
}
void dfs(int x){
if(x == -1) return ;
if(issame(a[x].l, a[x].r)) {
maxn = max(maxn, size(x));
}
dfs(a[x].l);
dfs(a[x].r);
}
int main(){
cin>>n;
for(int i=1;i<=n;++i) cin>>a[i].v;
for(int i=1;i<=n;++i) cin>>a[i].l>>a[i].r;
dfs(1);
cout<<maxn<<endl;
return 0;
}
3879

被折叠的 条评论
为什么被折叠?



