SVM详解以及常见面试题
最新推荐文章于 2023-01-01 19:32:20 发布
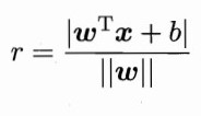
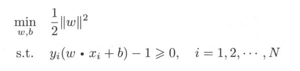
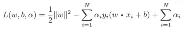
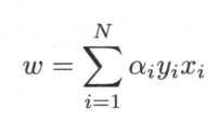
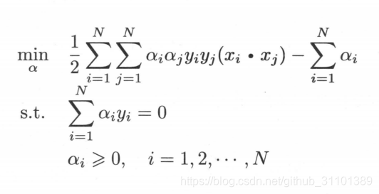
本文详细介绍了SVM(支持向量机)的核心概念,包括硬间隔SVM、软间隔SVM和支持向量回归SVR。通过推导过程展示了SVM如何找到最大间隔的超平面,以及如何通过拉格朗日乘子法转换为对偶问题。同时,讨论了SVM的损失函数、训练过程和核函数的应用。此外,还整理了SVM相关的面试题,包括SVM的特点、转换为对偶问题的原因、预测概率的输出方式以及与逻辑回归的区别。









最低0.47元/天 解锁文章
1508

被折叠的 条评论
为什么被折叠?



