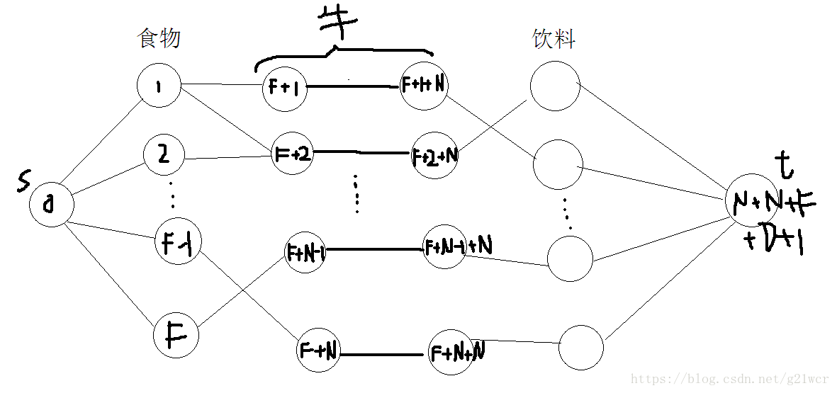
题目大意:有 N 头牛,F 个食物,D 个饮料。N 头牛中每头牛只喜欢几个食物和饮料。每个食物和饮料只能给一头牛。而且一头牛必须同时获得一个食物和一个饮料才能满足。问至多有多少头牛可以获得满足。
我们可以大致理一下对应关系:一头牛对应几个食物,一头牛对应几个饮料,而食物和饮料是没有对应关系的。
那么可以通过牛向食物和饮料连边来体现对应关系。但是一个牛只能有一个食物和一个饮料,可以把牛拆点,连一条容量为1的边,保证一头牛不会选多个食物或饮料。最后再跑一个最大流就行了。建图大致如下:

【圈里是点的编号。。饮料的我懒得画了,刷子写不下。食物和牛的连边与饮料和牛的连边我瞎画的】
#include<iostream>
#include<cstring>
#include<cstdio>
#include<algorithm>
#include<cmath>
#include<queue>
using namespace std;
const int oo=1e7;
const int maxn=1e6;
const int maxm=1e6;
int cnt=-1,s,t;
int Head[maxn];
int Next[maxm];
int V[maxm];
int W[maxm];
int depth[maxn];
void Add(int u,int v,int w)
{
++cnt;
Next[cnt]=Head[u];
V[cnt]=v;
W[cnt]=w;
Head[u]=cnt;
}
void addedge(int u,int v,int w)
{
Add(u,v,w);
Add(v,u,0);
}
int bfs()
{
memset(depth,0,sizeof(depth));
queue<int> Q;
depth[s]=1;
Q.push(s);
while(!Q.empty())
{
int u=Q.front();
Q.pop();
for(int i=Head[u];i!=-1;i=Next[i])
{
if(W[i]>0&&depth[V[i]]==0)
{
depth[V[i]]=depth[u]+1;
Q.push(V[i]);
}
}
}
return depth[t];
}
int dfs(int u,int dist)
{
if(u==t)
return dist;
for(int i=Head[u];i!=-1;i=Next[i])
{
if((depth[V[i]]==depth[u]+1)&&W[i]!=0)
{
int di=dfs(V[i],min(dist,W[i]));
if(di>0)
{
W[i]-=di;
W[i^1]+=di;
return di;
}
}
}
return 0;
}
int dinic()
{
int ans=0;
while(bfs())
{
while(int D=dfs(s,oo))
ans+=D;
}
return ans;
}
int main()
{
memset(Head,-1,sizeof(Head));
memset(Next,-1,sizeof(Next));
int N,F,D;
scanf("%d%d%d",&N,&F,&D);
s=0,t=N+N+F+D+1;
for(int i=1;i<=F;++i)
addedge(s,i,1);
for(int i=1;i<=N;++i)
{
int Fi,Di,f,d;
scanf("%d%d",&Fi,&Di);
for(int j=1;j<=Fi;++j)
{
scanf("%d",&f);
addedge(f,i+F,1);
}
addedge(i+F,i+N+F,1);
for(int j=1;j<=Di;++j)
{
scanf("%d",&d);
addedge(i+N+F,d+F+N+N,1);
}
}
for(int i=1;i<=D;++i)
addedge(i+F+N+N,t,1);
printf("%d",dinic());
}
本文介绍了一种使用最大流算法解决N头牛与F个食物、D个饮料之间的匹配问题的方法。通过构建二分图,将牛、食物和饮料之间的喜好关系转化为边,并利用最大流算法求解最多可以满足多少头牛的食物和饮料需求。
367

被折叠的 条评论
为什么被折叠?



