DDS工作原理
DDS技术是一种全新的频率合成方法,最早由JOSEPH TIERENY等三人提出,其具有输出频率分辨率高、功耗低、频率切换速度快且频率切换时输出信号的相位连续的特点。为此,了解DDS模块对数字信号处理及其硬件实现有着很重要的作用。
DDS的结构主要由相位累加器、波形存储器、数模(D/A)转换器和低通滤波器等四个大的结构组成。其结构框图如下 
图中,相位累加器是由N位加法器与N位累加寄存器构成,它是DDS模块中一个极其重要的部分。在参考频率时钟的驱动下,DDS模块开始工作;当每来一个参考时钟时,累加器就把频率控制字FW与寄存器输出的值进行累加,将相加后的结果再输入到寄存器中,而累加寄存器就将在上一个参考时钟作用时产生的数据通过反馈的方式输送到累加器中。这样,在时钟的作用下,就可以不停的对频率控制字进行累加。此时,用相位累加器输出的数据作为地址在波形存储器中通过查找地址所对应的幅值表,就可以完成其从相位到幅值之间的转化。
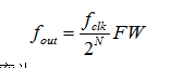
在DDS模块中,输出频率的公式为
输出信号的频率分辨率为
从上两式可以看出,在参考信号与加法器或寄存器的位数给定时,信号最终的输出频率主要由频率控制字决定。故当频率控制字变化时,输出频率也跟着变化,从而可以实现调频的基本功能。
2万+

被折叠的 条评论
为什么被折叠?



