129
题目
给你一个二叉树的根节点 root ,树中每个节点都存放有一个 0 到 9 之间的数字。
每条从根节点到叶节点的路径都代表一个数字:
- 例如,从根节点到叶节点的路径
1 -> 2 -> 3表示数字123。
计算从根节点到叶节点生成的 所有数字之和 。
叶节点 是指没有子节点的节点。
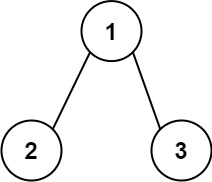
示例 1:

输入:root = [1,2,3] 输出:25 解释: 从根到叶子节点路径 1->2 代表数字 12 从根到叶子节点路径 1->3 代表数字 13 因此,数字总和 = 12 + 13 = 25
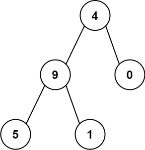
示例 2:

输入:root = [4,9,0,5,1] 输出:1026 解释: 从根到叶子节点路径 4->9->5 代表数字 495 从根到叶子节点路径 4->9->1 代表数字 491 从根到叶子节点路径 4->0 代表数字 40 因此,数字总和 = 495 + 491 + 40 = 1026
题解
/**
* Definition for a binary tree node.
* public class TreeNode {
* int val;
* TreeNode left;
* TreeNode right;
* TreeNode() {}
* TreeNode(int val) { this.val = val; }
* TreeNode(int val, TreeNode left, TreeNode right) {
* this.val = val;
* this.left = left;
* this.right = right;
* }
* }
*/
class Solution {
public int sumNumbers(TreeNode root) {
return sumRoot(root,0);
}
public int sumRoot(TreeNode root, int i) {
if (root == null) {
return 0;
}
int temp = i * 10 + root.val;
if (root.right == null && root.left == null) {
return temp;
}
return sumRoot(root.left,temp) + sumRoot(root.right,temp);
}
}
257
题目
给你一个二叉树的根节点 root ,按 任意顺序 ,返回所有从根节点到叶子节点的路径。
叶子节点 是指没有子节点的节点。
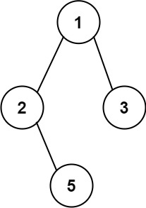
示例 1:

输入:root = [1,2,3,null,5] 输出:["1->2->5","1->3"]
示例 2:
输入:root = [1] 输出:["1"]
题解
/**
* Definition for a binary tree node.
* public class TreeNode {
* int val;
* TreeNode left;
* TreeNode right;
* TreeNode() {}
* TreeNode(int val) { this.val = val; }
* TreeNode(int val, TreeNode left, TreeNode right) {
* this.val = val;
* this.left = left;
* this.right = right;
* }
* }
*/
class Solution {
public List<String> binaryTreePaths(TreeNode root) {
List<String> res = new ArrayList<>();
if (root == null) {
return res;
}
if (root.left == null && root.right == null) {
res.add(root.val + "");
return res;
}
for (String path : binaryTreePaths(root.left)) {
res.add(root.val + "->" + path);
}
for (String path : binaryTreePaths(root.right)) {
res.add(root.val + "->" + path);
}
return res;
}
}
1021

被折叠的 条评论
为什么被折叠?



