题目
给你二叉树的根节点 root 和一个整数目标和 targetSum ,找出所有 从根节点到叶子节点 路径总和等于给定目标和的路径。
叶子节点 是指没有子节点的节点。
示例 1:

输入:root = [5,4,8,11,null,13,4,7,2,null,null,5,1], targetSum = 22 输出:[[5,4,11,2],[5,8,4,5]]
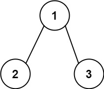
示例 2:

输入:root = [1,2,3], targetSum = 5 输出:[]
示例 3:
输入:root = [1,2], targetSum = 0 输出:[]
题解
首先定义一个List path用来存放每一条路径,再定义一个List ret用来返回结果
边界条件是根结点为空就退出递归
如果root.left和root.right为空,并且和减到了0,就增加路径
最后回溯要将当前节点删除
/**
* Definition for a binary tree node.
* public class TreeNode {
* int val;
* TreeNode left;
* TreeNode right;
* TreeNode() {}
* TreeNode(int val) { this.val = val; }
* TreeNode(int val, TreeNode left, TreeNode right) {
* this.val = val;
* this.left = left;
* this.right = right;
* }
* }
*/
class Solution {
LinkedList<Integer> path = new LinkedList<>();
LinkedList<List<Integer>> ret = new LinkedList<>();
public List<List<Integer>> pathSum(TreeNode root, int targetSum) {
recur(root, targetSum);
return ret;
}
public void recur(TreeNode root, int tar) {
if (root == null) {
return;
}
path.add(root.val);
tar -= root.val;
if (root.left == null && root.right == null && tar == 0) {
ret.add(new LinkedList<Integer>(path));
}
recur(root.left,tar);
recur(root.right,tar);
path.removeLast();
}
}
631

被折叠的 条评论
为什么被折叠?



