1448
题目
给你一棵根为 root 的二叉树,请你返回二叉树中好节点的数目。
「好节点」X 定义为:从根到该节点 X 所经过的节点中,没有任何节点的值大于 X 的值。
示例 1:

输入:root = [3,1,4,3,null,1,5] 输出:4 解释:图中蓝色节点为好节点。 根节点 (3) 永远是个好节点。 节点 4 -> (3,4) 是路径中的最大值。 节点 5 -> (3,4,5) 是路径中的最大值。 节点 3 -> (3,1,3) 是路径中的最大值。
示例 2:

输入:root = [3,3,null,4,2] 输出:3 解释:节点 2 -> (3, 3, 2) 不是好节点,因为 "3" 比它大。
示例 3:
输入:root = [1] 输出:1 解释:根节点是好节点。
题解
/**
* Definition for a binary tree node.
* public class TreeNode {
* int val;
* TreeNode left;
* TreeNode right;
* TreeNode() {}
* TreeNode(int val) { this.val = val; }
* TreeNode(int val, TreeNode left, TreeNode right) {
* this.val = val;
* this.left = left;
* this.right = right;
* }
* }
*/
class Solution {
public int goodNodes(TreeNode root) {
return goodNodesSum(root,Integer.MIN_VALUE);
}
private int goodNodesSum(TreeNode root, int m) {
if (root == null) {
return 0;
}
int left = goodNodesSum(root.left,Math.max(root.val, m));
int right = goodNodesSum(root.right,Math.max(root.val, m));
return left + right + ((m <= root.val) ? 1 : 0);
}
}
100
题目
给你两棵二叉树的根节点 p 和 q ,编写一个函数来检验这两棵树是否相同。
如果两个树在结构上相同,并且节点具有相同的值,则认为它们是相同的。
示例 1:

输入:p = [1,2,3], q = [1,2,3] 输出:true
示例 2:

输入:p = [1,2], q = [1,null,2] 输出:false
示例 3:

输入:p = [1,2,1], q = [1,1,2] 输出:false
题解
/**
* Definition for a binary tree node.
* public class TreeNode {
* int val;
* TreeNode left;
* TreeNode right;
* TreeNode() {}
* TreeNode(int val) { this.val = val; }
* TreeNode(int val, TreeNode left, TreeNode right) {
* this.val = val;
* this.left = left;
* this.right = right;
* }
* }
*/
class Solution {
public boolean isSameTree(TreeNode p, TreeNode q) {
if (p == null || q == null) {
return p == q;
}
return (p.val == q.val) && isSameTree(p.left,q.left) && isSameTree(p.right,q.right);
}
}
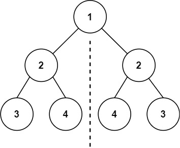
101
题目
给你一个二叉树的根节点 root , 检查它是否轴对称。
示例 1:

输入:root = [1,2,2,3,4,4,3] 输出:true
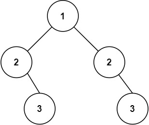
示例 2:

输入:root = [1,2,2,null,3,null,3] 输出:false
题解
/**
* Definition for a binary tree node.
* public class TreeNode {
* int val;
* TreeNode left;
* TreeNode right;
* TreeNode() {}
* TreeNode(int val) { this.val = val; }
* TreeNode(int val, TreeNode left, TreeNode right) {
* this.val = val;
* this.left = left;
* this.right = right;
* }
* }
*/
class Solution {
public boolean isSymmetric(TreeNode root) {
return isSymmetryTree(root.left,root.right);
}
private boolean isSymmetryTree(TreeNode p, TreeNode q) {
if (p == null || q == null) {
return p == q;
}
return (p.val == q.val) && isSymmetryTree(p.left,q.right) && isSymmetryTree(p.right,q.left);
}
}
文章讲述了如何计算给定二叉树中好节点的数量,以及判断两棵二叉树结构是否相同的方法,涉及递归遍历和比较节点值。
5万+

被折叠的 条评论
为什么被折叠?



