题目
给定一个单链表 L 的头节点 head ,单链表 L 表示为:
L0 → L1 → … → Ln - 1 → Ln
请将其重新排列后变为:
L0 → Ln → L1 → Ln - 1 → L2 → Ln - 2 → …
不能只是单纯的改变节点内部的值,而是需要实际的进行节点交换。
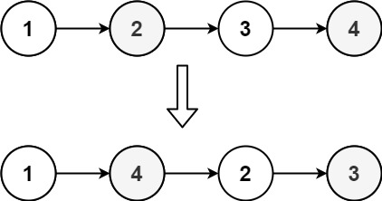
示例 1:

输入:head = [1,2,3,4] 输出:[1,4,2,3]
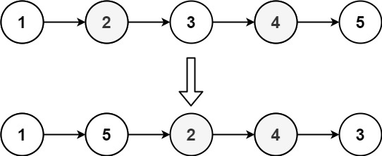
示例 2:

输入:head = [1,2,3,4,5] 输出:[1,5,2,4,3]
题解
/**
* Definition for singly-linked list.
* public class ListNode {
* int val;
* ListNode next;
* ListNode() {}
* ListNode(int val) { this.val = val; }
* ListNode(int val, ListNode next) { this.val = val; this.next = next; }
* }
*/
class Solution {
public void reorderList(ListNode head) {
//先将中点右侧的部分翻转
ListNode mid = middleNode(head);
ListNode head2 = reserveList(mid);
while (head2.next != null) {
ListNode nxt = head.next;
ListNode nxt2 = head2.next;
head.next = head2; //1->5
head2.next = nxt; //5->2
head = nxt; //2上
head2 = nxt2; //4上
}
}
private ListNode reserveList(ListNode head) {
ListNode pre = null;
ListNode cur = head;
while (cur != null) {
ListNode nxt = cur.next;
cur.next = pre;
pre = cur;
cur = nxt;
}
return pre;
}
private ListNode middleNode(ListNode head) {
ListNode fast = head;
ListNode slow = head;
while (fast != null && fast.next != null) {
slow = slow.next;
fast = fast.next.next;
}
return slow;
}
}
581

被折叠的 条评论
为什么被折叠?



