题目
给定一个链表的头节点 head ,返回链表开始入环的第一个节点。 如果链表无环,则返回 null。
如果链表中有某个节点,可以通过连续跟踪 next 指针再次到达,则链表中存在环。 为了表示给定链表中的环,评测系统内部使用整数 pos 来表示链表尾连接到链表中的位置(索引从 0 开始)。如果 pos 是 -1,则在该链表中没有环。注意:pos 不作为参数进行传递,仅仅是为了标识链表的实际情况。
不允许修改 链表。
示例 1:

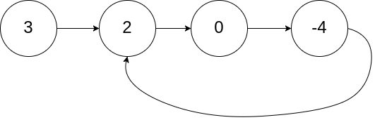
输入:head = [3,2,0,-4], pos = 1 输出:返回索引为 1 的链表节点 解释:链表中有一个环,其尾部连接到第二个节点。
示例 2:

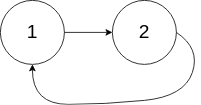
输入:head = [1,2], pos = 0 输出:返回索引为 0 的链表节点 解释:链表中有一个环,其尾部连接到第一个节点。
示例 3:

输入:head = [1], pos = -1
输出:返回 null
解释:链表中没有环。
题解
/**
* Definition for singly-linked list.
* class ListNode {
* int val;
* ListNode next;
* ListNode(int x) {
* val = x;
* next = null;
* }
* }
*/
public class Solution {
public ListNode detectCycle(ListNode head) {
//设环外的部分为a,环入口到相遇点(正向)为b,环长为b+c
//fast:a+b+n(b+c) slow:a+b 2(a+b)=a+b+n(b+c) a=c+(n-1)(b+c)
//slow按照环的方向走到入口与head走到入口的距离相等
//slow一定在第一圈内与fast相遇
//如果slow刚进入环,slow与fast相差N步,则一共执行fast两步slow一步的循环N次
//也就是slow走了N步,而N小于环长
ListNode fast = head;
ListNode slow = head;
while (fast != null && fast.next != null) {
slow = slow.next;
fast = fast.next.next;
if (slow == fast) {
while (head != slow) {
slow = slow.next;
head = head.next;
}
return slow;
}
}
return null;
}
}
本文介绍了一种解决链表环检测问题的方法,利用快慢指针(fast和slow)在链表中找到环的入口。快指针每次移动两个节点,慢指针每次移动一个,当它们相遇时,慢指针回退到环的入口,从而确定环的位置。
831

被折叠的 条评论
为什么被折叠?



