题目
给你一个链表的头节点 head ,判断链表中是否有环。
如果链表中有某个节点,可以通过连续跟踪 next 指针再次到达,则链表中存在环。 为了表示给定链表中的环,评测系统内部使用整数 pos 来表示链表尾连接到链表中的位置(索引从 0 开始)。注意:pos 不作为参数进行传递 。仅仅是为了标识链表的实际情况。
如果链表中存在环 ,则返回 true 。 否则,返回 false 。
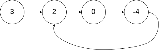
示例 1:

输入:head = [3,2,0,-4], pos = 1 输出:true 解释:链表中有一个环,其尾部连接到第二个节点。
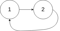
示例 2:

输入:head = [1,2], pos = 0 输出:true 解释:链表中有一个环,其尾部连接到第一个节点。
示例 3:

输入:head = [1], pos = -1 输出:false 解释:链表中没有环。
题解
/**
* Definition for singly-linked list.
* class ListNode {
* int val;
* ListNode next;
* ListNode(int x) {
* val = x;
* next = null;
* }
* }
*/
public class Solution {
public boolean hasCycle(ListNode head) {
ListNode fast = head;//兔子
ListNode slow = head;//乌龟
//对于乌龟来说,自己不动,兔子想到自己走一步,必定会相遇
while (fast != null && fast.next != null) {
slow = slow.next;
fast = fast.next.next;
if (fast == slow) {
return true;
}
}
return false;
}
}
该篇文章介绍了如何使用快慢指针方法在Java中检测链表是否存在环。通过定义两个指针,一个每次移动一步(乌龟),另一个每次移动两步(兔子),如果它们在某个时刻相遇,则链表中存在环;否则,链表无环。
831

被折叠的 条评论
为什么被折叠?



