
第八道、#160. 相交链表(与第九道题相同)
编写一个程序,找到两个单链表相交的起始节点。
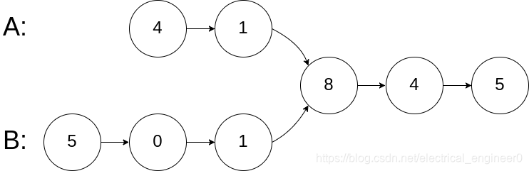
如下面的两个链表:

在节点 c1 开始相交。
示例 1:

输入:intersectVal = 8, listA = [4,1,8,4,5], listB = [5,0,1,8,4,5], skipA = 2, skipB = 3
输出:Reference of the node with value = 8
输入解释:相交节点的值为 8 (注意,如果两个链表相交则不能为 0)。从各自的表头开始算起,链表 A 为 [4,1,8,4,5],链表 B 为 [5,0,1,8,4,5]。在 A 中,相交节点前有 2 个节点;在 B 中,相交节点前有 3 个节点。
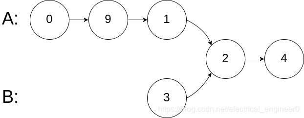
示例 2:

输入:intersectVal = 2, listA = [0,9,1,2,4], listB = [3,2,4], skipA = 3, skipB = 1
输出:Reference of the node with value = 2
输入解释:相交节点的值为 2 (注意,如果两个链表相交则不能为 0)。从各自的表头开始算起,链表 A 为 [0,9,1,2,4],链表 B 为 [3,2,4]。在 A 中,相交节点前有 3 个节点;在 B 中,相交节点前有 1 个节点。
示例 3:

输入:intersectVal = 0, listA = [2,6,4], listB = [1,5], skipA = 3, skipB = 2
输出:null
输入解释:从各自的表头开始算起,链表 A 为 [2,6,4],链表 B 为 [1,5]。由于这两个链表不相交,所以 intersectVal 必须为 0,而 skipA 和 skipB 可以是任意值。
解释:这两个链表不相交,因此返回 null。
注意:
如果两个链表没有交点,返回 null.
在返回结果后,两个链表仍须保持原有的结构。
可假定整个链表结构中没有循环。
程序尽量满足 O(n) 时间复杂度,且仅用 O(1) 内存。
来源:力扣(LeetCode)
链接:https://leetcode-cn.com/problems/intersection-of-two-linked-lists
著作权归领扣网络所有。商业转载请联系官方授权,非商业转载请注明出处。
1、哈希表法
将一个链表存入哈希表,然后再将另一个链表也存入哈希表,同时判断是否有相交节点
/**
* Definition for singly-linked list.
* struct ListNode {
* int val;
* ListNode *next;
* ListNode(int x) : val(x), next(NULL) {}
* };
*/
class Solution {
public:
ListNode *getIntersectionNode(ListNode *headA, ListNode *headB) {
if(headA == NULL ||headB == NULL) return NULL;
unordered_map<ListNode* , int> map;
while(headA != NULL){
map[headA]++; //heada存入哈希表
headA = headA->next;
}
while(headB != NULL){
map[headB]++;
if(map[headB] > 1 ) return headB;
headB = headB->next;
}
return NULL;;
}
};
2、双指针法
将两个链表分别一前一后接在一起遍历,如果有交点则一定会在相交点相遇
换个意思就是两个新的链表最后的一部分肯定相同
/**
* Definition for singly-linked list.
* struct ListNode {
* int val;
* ListNode *next;
* ListNode(int x) : val(x), next(NULL) {}
* };
*/
class Solution {
public:
ListNode *getIntersectionNode(ListNode *headA, ListNode *headB) {
if(headA == NULL ||headB == NULL) return NULL;
ListNode* a = headA;
ListNode* b = headB;
while(a != b){
a = a ? a->next : headB;
b = b ? b->next : headA;
}
return a;
}
};
本文介绍两种高效算法,用于解决寻找两个单链表相交起始节点的问题,包括哈希表法和双指针法,旨在实现O(n)时间复杂度及O(1)空间复杂度。

被折叠的 条评论
为什么被折叠?



