参考图像梯度
目标
- 了解图像梯度与边缘
- 梯度算子:Sobel算子、拉普拉斯算子(LOG)
图像的梯度与边缘
-
图像梯度原理
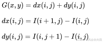
通俗来说就是图像在不同方向上的变化趋势。可以把图像看作二维离散函数,图像梯度其实就是这个二维离散函数的求导: I ( i , j ) I(i,j) I(i,j)是灰度图像I在第 i i i行和第 j j j列的像素值
<
OpenCV图像处理:图像梯度与梯度算子
参考图像梯度
图像梯度原理
通俗来说就是图像在不同方向上的变化趋势。可以把图像看作二维离散函数,图像梯度其实就是这个二维离散函数的求导: I ( i , j ) I(i,j) I(i,j)是灰度图像I在第 i i i行和第 j j j列的像素值
<
1万+

被折叠的 条评论
为什么被折叠?