本文来源公众号“数据派THU”,仅用于学术分享,侵权删,干货满满。
原文链接:https://mp.weixin.qq.com/s/fKKPy4W9k8bGaLHmaY476w
摘要
复杂系统中的临界转变(critical transitions)给自然和工程系统的健康运行带来了挑战,有时会导致灾难性的后果。这些临界点(小的变化会导致大的状态转变)很难被检测到,尤其是在嘈杂、高维的环境中。我们通过使用循环分析研究了湍流流体机械系统中,从混沌到周期振荡的间歇性发生的转变。从状态变量的时间序列构建的循环图(Recurrence Plot, RPs)揭示了从无序的短断对角线到有序的短对角线块,最终到长连续对角线模式的明显进展。这种循环模式的演变捕捉到了从涉及多个时间尺度的动力学到占主导地位的单个时间尺度的转变;我们将这种现象称为“循环凝聚”(recurrence condensation)。本研究使用循环量化指标,如循环时间、确定性、熵、层流性和捕获时间来量化循环凝聚,所有这些指标都显示出向单个主导时间尺度的坍缩。此外,这些循环度量与控制参数偏离临界点的偏差呈幂律缩放关系。通过优化最佳幂律可揭示参数的临界值。本文将此方法应用于含基本噪声的霍普夫分岔模型的合成数据,并证实所检测到的临界点与分岔点一致。研究结果为识别具有渐变过渡的噪声系统中的临界点提供了见解,其中过渡点的定义并不明确。
关键词:循环图(Recurrence Plot),循环凝聚(Recurrence Condensation),循环定量分析(Recurrence Quantification Analysis, RQA),临界转变(Critical Transition),Hopf分岔(Hopf Bifurcation)

论文题目:Recurrence condensation during critical transitions in complex systems
论文链接:https://doi.org/10.1063/5.0267157
发表时间:2025年8月1日
论文来源:Chaos
复杂系统常常在外部扰动或内部参数缓慢变化下突然跨越稳定边界,进入截然不同的动力学状态。这类临界转变广泛存在于气候、生态、金融市场以及工程系统中,如生态崩塌、市场崩盘、气候突变或燃烧系统失稳。然而,传统的统计方法往往需要长时间序列,而现实数据短而杂乱,加上噪声干扰,使得临界点的识别变得异常困难 。因此,发展能在有限数据与强噪声环境下捕捉转变信号的方法,是跨学科的核心挑战。近年来,循环分析作为一种非线性动力学工具,因能刻画时序数据的隐藏结构而受到重视。本研究提出的“循环凝聚”现象,揭示了临界转变过程中时间尺度的塌缩机制,并通过实验与理论模型验证其普适性,为复杂系统的早期预警研究开辟了新路径 。
从湍流燃烧到“循环凝聚”
研究团队选取了湍流燃烧中的热声系统(thermoacoustic system)作为对象。该系统在气流速率变化下,会从低幅度的混沌噪声(combustion noise)跃迁到高幅度的自激振荡(thermoacoustic instability)。这一过程关乎火箭发动机和燃气轮机的安全,还为研究临界转变提供了理想场景。

图 1. 本研究中所用的湍流燃烧室示意图。安装在燃烧室上的压力传感器测量声压波动。
在方法层面,研究者首先将声压等实验时间序列通过 Takens 延迟嵌入重构相空间,再以欧氏距离小于阈值为条件判定“循环”,从而绘制出黑白相间的循环图。通过循环图的方式,研究者发现:在混沌态,循环图呈现为短而破碎的对角线;随着系统接近临界点,逐渐出现小片段的有序结构;而在周期态下,则清晰展现为长而连续的对角线。这种由多时间尺度向单一时间尺度的塌缩,被形象地称为“循环凝聚”(recurrence condensation)。

图 2. 利用τ -复发率和峰间光谱可视化循环凝聚。在燃烧噪声状态I-(a) (Re= 2.13 × 104时的混沌状态)、间歇状态II-(a) (Re= 2.88 × 104)和热声不稳定状态III-(a) (Re= 3.09 × 104时的LCO状态)下,滑塌体内的声压波动时间序列稳定了燃烧室。相应的相图说明了吸引子在这些体系(I-III)中的演变(C)。分别为1,1和0.1 s (B)的时间序列窗口构建RPs (D),使用对应于吸引子大小的20%的循环阈值。(I) - (III)(E)的τ-RR。(I) - (III)(F)图(I) - (III)(E)中所示τ- rrr的尖峰间谱。在燃烧噪声向振荡不稳定过渡的过程中,τ- rrs从宽分布转变为单一值,这在ISS中表现为从宽谱向优势模态的凝聚。
循环定量分析:从图像到指标
仅靠视觉识别并不足以量化这一现象。研究团队引入了循环定量分析(RQA),从图中提取出多类几何特征指标:
-
确定性(Determinism, DET):反映系统轨迹的可预测性,随转变而显著提升。
-
对角线长度熵(Entropy, Entr):衡量轨迹复杂度,在临界点前先升后降。
-
层流性(Laminarity, LAM)与陷获时间(Trapping Time, TT):揭示系统停留在某状态的持续性,随临界点逼近而下降。
-
循环时间(Recurrence Time, RT)及其熵(RTE):表现系统回到既往轨迹邻域的时间规律,在转变过程中逐渐收敛。
这些指标共同刻画了系统从混沌到周期状态的转变轨迹,并在临界点附近呈现出典型的幂律缩放关系,即指标与控制参数偏离临界值的差距呈现幂次关系,这意味着通过寻找幂律拟合误差最小的位置,可以精确定位临界点。此外,当系统跨越临界点时,时间尺度塌缩,表现为熵的降低与有序性的增强 。

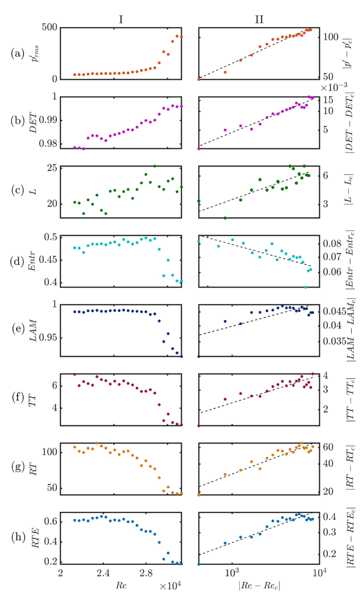
图 3. 临界点附近的 RQA 度量尺度缩放。p' rms I(a)和循环测量I(b-h)随控制参数Re的变化。我们观察到,所有基于循环的测量都能提前预测到周期振荡的转变。控制参数(Re)的对应差值及其在临界点处的值(Rec = 2.96±0.069 × 104)之间存在幂律标度关系II(a-h)。在Rec有间歇性,它既有混沌性又有周期性。
模型验证:Hopf分岔中的“循环凝聚”
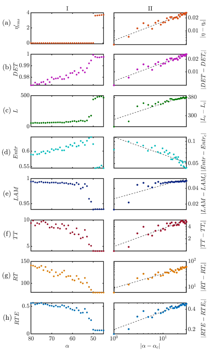
为了验证普适性,研究者又考察了含噪 Hopf 分岔模型。无论是亚临界还是超临界 Hopf 分岔,系统都在接近分岔点时表现出相似的循环凝聚现象。RQA 指标提前出现幂律缩放信号,其对应的临界点与理论分岔点高度一致。这说明循环凝聚并非湍流燃烧的特例,而可能是复杂系统临界转变的普适特征 。

图 4. 噪声亚临界 Hopf 分岔的 RQA 度量尺度。
结论与展望
本文提出的“循环凝聚”现象,将复杂系统从混沌走向有序的过程具象化为时间尺度的塌缩,并通过循环图与 RQA 实现了定量化描述。其幂律缩放特征使得临界点的精准识别成为可能。
虽然实验背景来自燃烧物理,但其方法论意义远超工程领域,还可广泛应用于气候、生态、金融和生物系统中,为预测潜在灾变提供早期预警。气候系统中的冰盖崩塌、生态系统的种群灭绝、乃至金融市场的剧烈波动,都属于高维、含噪声的临界转变。这为未来跨学科的临界转变研究提供了强大工具箱。
THE END !
文章结束,感谢阅读。您的点赞,收藏,评论是我继续更新的动力。大家有推荐的公众号可以评论区留言,共同学习,一起进步。
2824

被折叠的 条评论
为什么被折叠?



