本文来源公众号“CV技术指南”,仅用于学术分享,侵权删,干货满满。
原文链接:ICCV 2025 | Converse2D | 即插即用 | 卷积真正的逆 | 在图像恢复中的逆卷积
前言 本文将逆卷积过程转为求解正则化最小二乘优化问题,引入正则化解决问题的不适定性,通过构建维纳滤波模型引入频域通过圆形边界条件求封闭解。

论文题目:Reverse Convolution and Its Applications to Image Restoration
论文链接:https://arxiv.org/pdf/2508.09824
论文源码:https://github.com/cszn/ConverseNet
文章类型:结构创新型。
具体分类:卷积算子创新。
前置知识:卷积,反卷积,维纳滤波(Wiener Filter),最小二乘问题求解,正则化。
Motivation:下采样会造成信息丢失,卷积的逆问题又具有不适定性,为了创新卷积算子,找到卷积真正的逆运算
Method
-
卷积a、反卷积b、逆卷积c示意图。标准卷积和转置卷积将核应用于输入,但反向卷积将核应用于输出来重建输入。

-
正向卷积过程:

-
目的是求解X,转化为最小二乘问题:

-
但问题具有不适定性,直接求解上述方程会导致不稳定的解。于是添加二次正则化项:

-
根据源码,X0由最近邻插值计算,控制权重参数由如下公式计算:

-
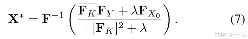
在卷积的圆形边界条件的假设下得到X的闭式解:

简化为(维纳滤波(Wiener Filter) 的频域形式,用于从降质观测信号中恢复真实信号):

-
F是快速傅里叶变换;
-
FK:降质核(点扩散函数,PSF) 的傅里叶变换(即光学传递函数,OTF);
-
FY是观测信号(降质图像) 的傅里叶变换;
-
FX0(插值后的低分辨率图像) 的傅里叶变换;
-
FK_bar:FK的共轭(频域逆操作的核心);
-
算法流程:

-
Converse2D一些细节:
-
模糊核K:在预处理过程中对K应用Softmax归一化,以强制非负性和求和为一的约束;
-
padding:模式为圆形填充(circular),填充大小为4×4最优;
-
X0初始化:零初始化不如插值初始化;
-
Converse2D Block:在新算子的基础上提出一个Trans-style Block,Converse2D可以增强中间特征

-
用Converse Block构建三种任务的网络:

Experiment
去噪:Converse2d替代传统卷积核反卷积都有提升

超分:替换卷积和上采样性能近似

去模糊:去模糊任务不同的模糊核提升都很明显

总结与思考
-
Converse2d是寻找真正的卷积逆运算的一次探索尝试,这样基础算子研究应该被予以重视和尊重;
-
Converse2d在去模糊任务上提升明显,去噪有提升,超分几乎一致;
-
Converse2d是一个即插即用的架构,它适用于中间特征通道数不变的位置来增强特征(图2以及源码中的输入输出通道数相同的断言);
参考文献Bib格式
@inproceedings{huang2025reverse,
title={Reverse Convolution and Its Applications to Image Restoration},
author={Huang, Xuhong and Liu, Shiqi and Zhang, Kai and Tai, Ying and Yang, Jian and Zeng, Hui and Zhang, Lei},
booktitle={International Conference on Computer Vision},
pages={1--10},
year={2025}
}
THE END !
文章结束,感谢阅读。您的点赞,收藏,评论是我继续更新的动力。大家有推荐的公众号可以评论区留言,共同学习,一起进步。

253

被折叠的 条评论
为什么被折叠?



