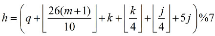
在学习java的时候遇到的一道练习题,感觉以后会用到,所以整理出来。克里斯汀·泽勒开发的用于计算某一天是星期几的算法,称为泽勒一致性。其公式如下(图片是从网上找的):

h代表星期几(0为0星期六,1为星期日,...,6为星期五)
q代表某月的第几天
m代表月份(3为3月,4为4月,...,12为12月,1月、2月为上一年的13、14)
k是世纪数,即[year / 100]
j是世纪的年数,即year % 100
泽勒一致性算法解析
本文介绍了一种由克里斯汀·泽勒开发的算法——泽勒一致性,该算法用于计算特定日期对应的星期几。通过该算法,可以快速确定任何日期属于星期中的哪一天,对于日历应用或日期相关的软件开发非常有用。
在学习java的时候遇到的一道练习题,感觉以后会用到,所以整理出来。克里斯汀·泽勒开发的用于计算某一天是星期几的算法,称为泽勒一致性。其公式如下(图片是从网上找的):

h代表星期几(0为0星期六,1为星期日,...,6为星期五)
q代表某月的第几天
m代表月份(3为3月,4为4月,...,12为12月,1月、2月为上一年的13、14)
k是世纪数,即[year / 100]
j是世纪的年数,即year % 100
1182

被折叠的 条评论
为什么被折叠?