逻辑回归(对数几率回归)
表面理解
逻辑回归就是基于多元线性回归的缩放。
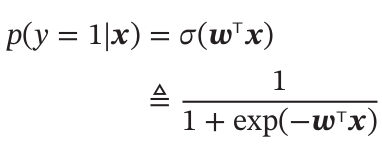
就是在计算多元线性回归之后,把输出经过下式
为啥这么做呢?
为了解决连续的线性函数不适合进行分类的问题, 我们引入非线性函数 sigmoid,也称之为激活函数。
其实就是把线性函数的值域从实数区间 “挤压” 到了 (0, 1) 之间, 可以用来表示概率

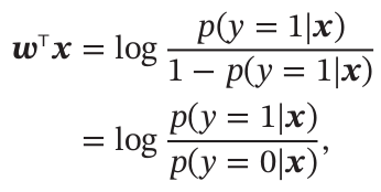
把上式变换一下,就成了对数几率的形式。
目的
就是用来做二分类任务的,经过sigmoid函数之后,被压缩到0~1之间,小于0.5的一类,大于0.5的一类。

损失函数
Q:做回归预测损失函数是什么?
A:平方均值损失函数MSE
Q:做分类损失函数是什么?
A:做分类损失函数是交叉熵!
Q:什么是熵?
A:熵是一种测量分子不稳定性的指标,分子运动越不稳定,熵就越大,来自热力学
熵是一种测量信息量的单位,信息熵,包含的信息越多,熵就越大,来自信息论
熵是一种测量不确定性的单位,不确定性越大,概率越小,熵就越大!
Q:熵和概率是什么一个关系?
A:随着概率的减小,熵会增大
交叉熵(专门为二分类设计的损失函数)
损失函数:

求个导:

发现还是线性回归嘛。
推到过程。。。。看图:


Q:为什么本质是多元线性回归?
A:1,公式,首先应用了多元线性回归的公式,其次才是把多元线性回归的结果,交给sigmoid函数去进行缩放
2,导函数,逻辑回归的损失函数推导的导函数,整个形式上和多元线性回归基本一致,
只是y_hat求解公式包含了一个sigmoid过程而已
Q:逻辑回归的损失函数是什么?
A:交叉熵,做分类就用交叉熵,-ylogP,因为逻辑回归是二分类,所以
loss func = (-ylogP + -(1-y)*log(1-P)),也就是说我们期望这个损失最小然后找到最优解
事实上,我们就可以利用前面学过的梯度下降法来求解最优解了
Q:逻辑回归为什么阈值是0.5?
A:因为线性回归区间是负无穷到正无穷的,所以区间可以按照0来分成两部分,所以带到sigmoid公式里面去z=0的话,y就等于0.5
Q:逻辑回归做多分类?
A:逻辑回归做多分类,把多分类的问题,转化成多个二分类的问题,如果假如要分三个类别,就需要同时
训练三个互相不影响的模型,比如我们n个维度,那么三分类,w参数的个数就会是(n+1)*3个参数
上面所谓的互不影响,指的是模型在梯度下降的时候,分别去训练,分别去下降,三个模型互相不需要
传递数据,也不需要等待收敛
5万+

被折叠的 条评论
为什么被折叠?



