MY BLOG DIRECTORY:
小IVan:专题概述及目录INTRODUCTION:
光线追踪和光栅比起来有很多天生优势,实时光线追踪也是游戏未来发展的大方向。这一节将会实现“Ray Tracing in a Weekend”的内容,不过与“Ray Tracing in a Weekend”不同的是,我们将会在虚幻4中实现它,并且使用GPU来加速计算。
在开始本系列之前,如果没有光线追踪基础建议先阅读Ray Tracing in a weekend,Two Weekend 和last life这三本书。
Ray Tracing in One Weekend (Ray Tracing Minibooks Book 1) eBook: Peter Shirley: Kindle Store這些是基礎知識,下面我會在Unreal中自己搭建一個簡陋的光錐渲染器,這些完成后再進入RTX。
MAIN CONTENT:
【1】在Unreal中使用GPU做光线追踪的环境搭建
我们还是使用插件的形式来搭建我们的代码,虚幻的插件和unity的有本质不同,虚幻的插件其实是一个新的模块。
我们新建一个名为RayTracing的插件,然后在插件里新建一个RayTracing.usf和一个RayRender.h,一个RayRender.cpp
对RayTracing.build.cs做如下修改
对RayTracing.uplugin做如下修改:
然后在RayRender.h文件中,敲入如下代码
在RayRender.cpp中实现MainRayRender
然后在RayTracing.usf中敲入如下代码
然后新建一个场景,做一个BP派生自RayRender
然后把它拖进去,在BP_RayRender中做如下设置
OK现在完成了最基本的环境搭建。
【2】加入ComputeShader
在RayRender.cpp中我们要建一个ComputeShader。这个CS将负责RayTracing的大部分计算。代码如下:
【3】使用ComputeShader来输出计算结果
在MainRayRender函数前面我们增加一个函数
这个函数负责被逻辑线程的MainRayRender函数调用,然后它负责在渲染线程控制CS,在这个函数的末尾有个SaveArrayToTexture函数,我们需要在RayTracing_RenderThread前实现它。如下图所示:
最后是我们的MainRayRender函数的实现。
然后在编辑器启动游戏点下R键之后,你将会在项目的Save目录下看到CS计算的结果
【4】在ComputeShader中加入RayTracing的逻辑完成天空的绘制
使用CS的时候需要注意的是,uv的v方向是向下的
再改一下输出图片的分辨率(为了好看)
然后我们继续在RayTracing.usf敲入如下代码:
首先我们定义了一个光线的结构体,并且为这个结构体配套了一个point_at_paramerter的函数。然后定义了一个渲染场景的函数,最后在MainCS里定义了我们的摄像机。
在编辑器中运行点R键,你将会在项目的Save目录的ScreenShot里找到输出结果
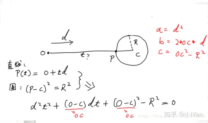
【5】向RayTracing中加入一个球体
我们先来使用数学方法建一个球体要判断光线是否与球相交,只需要判断射线方程和球面方程是否有交点即可
(电脑上写的字巨丑,见谅)
所以我们定义一个hit_sphere函数如下
我们的RenderSceneColor也要做相应变化,如果光线打到了球面上,则绘制红色。然后我们就可以得到如下的图:
【6】计算表面法线
因为表面是球形的,所以法线就是球星到光线和表面的相交点方向的向量
【7】多物体计算
如果想得到一个场景肯定不可能只绘制一个东西,这时候我们需要绘制多个物体。这时候我们就需要在Shader里维护一个绘制列表。同时为了更方便绘制,我把摄像机的坐标系重新调整了一下。
先定义一个结构体用来储存光追的结果
然后定义物体结构体和物体绘制列表结构
struct hitable_Sphere
{
float3 center;
float radius;
void InitHitableObject(float3 centerlocation, float radiusvalue)
{
center = centerlocation;
radius = radiusvalue;
}
bool hit(in Ray r, in float t_min, float t_max, out hit_record rec)
{
float3 oc = r.origin - center;
float a = dot(r.direction, r.direction);
float b = 2 * dot(oc, r.direction);
float c = dot(oc, oc) - radius * radius;
float discrimninant = b * b - 4 * a * c;
if (discrimninant >= 0)
{
float temp = (-b - sqrt(discrimninant)) / (2.0f * a);
if (temp < t_max && temp > t_min)
{
rec.t = temp;
rec.p = r.point_at_paramerter(rec.t);
rec.normal = (rec.p - center) / radius;
return true;
}
temp = (-b + sqrt(discrimninant)) / (2.0f * a);
if (temp < t_max && temp > t_min)
{
rec.t = temp;
rec.p = r.point_at_paramerter(rec.t);
rec.normal = (rec.p - center) / radius;
return true;
}
}
return false;
}
};
struct hitablelist
{
hitable_Sphere Sphere_001;
hitable_Sphere Sphere_002;
bool hit(in Ray rayline, in float t_min, in float t_max, out hit_record rec)
{
hit_record temp_rec;
bool hit_anything = false;
float closest_so_far = t_max;
Sphere_001.InitHitableObject(float3(0, -1.0f, 0), 0.5f);
if (Sphere_001.hit(rayline, t_min, closest_so_far, temp_rec))
{
hit_anything = true;
closest_so_far = temp_rec.t;
rec = temp_rec;
}
Sphere_002.InitHitableObject(float3(0, -1.0f, 20.5f), 20.0f);
if (Sphere_002.hit(rayline, t_min, closest_so_far, temp_rec))
{
hit_anything = true;
closest_so_far = temp_rec.t;
rec = temp_rec;
}
return hit_anything;
}
};
最后是我们的场景渲染函数和MainCS
【8】抗锯齿
可以看到我们渲染出来的图锯齿还是很重的
我们可以对这个地方进行超采样来缓解。首先把Camera的逻辑封装一下
主函数也需要做相应修改
于是最后我们得到了平滑的图像
这里我采样了2048次(其实不用这么多次),对于GPU来说小Case啦。我1060的垃圾卡都能瞬间做完运算并输出图片。
【9】DiffuseLighting
我们有了法线就能做Lighting啦。
我们可以假设一种非常简单的光照模型,光打到一个物体上,一部分能量被吸收,一部分能量反弹,我们对每条光线做迭代即可
最后可以得到的输出结果
可以看到我们不需要可以渲染AO影子什么的,这些东西自己就有了。影子噪点非常多我们还需要对其进行降噪处理。
修改下Hit的最小距离,将其修改为0.001
于是奇怪的bug纹就消失了
SUMMARY AND OUTLOOK:
先暂时写到这里吧,后面的全反射和折射,透射什么的有时间再写。到这里我们就可以得到一个简单的光纤追踪渲染器了。不过没有加速结构,没有反弹循环等等,但是这并不影响我们对光线追踪的理解。
Enjoy it。
NEXT:
本文详细介绍了在虚幻4引擎中实现实时光线追踪的过程,从环境搭建到抗锯齿、Diffuse Lighting等高级功能,展示了如何利用GPU加速光线追踪计算。
290

被折叠的 条评论
为什么被折叠?



