给你二叉树的根节点 root ,返回它节点值的 前序 遍历。
示例 1:

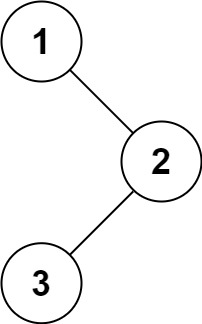
输入:root = [1,null,2,3]
输出:[1,2,3]
示例 2:
输入:root = []
输出:[]
示例 3:
输入:root = [1]
输出:[1]
示例 4:

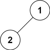
输入:root = [1,2]
输出:[1,2]
示例 5:

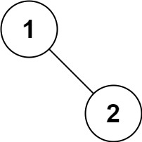
输入:root = [1,null,2]
输出:[1,2]
/**
* Definition for a binary tree node.
* public class TreeNode {
* int val;
* TreeNode left;
* TreeNode right;
* TreeNode() {}
* TreeNode(int val) { this.val = val; }
* TreeNode(int val, TreeNode left, TreeNode right) {
* this.val = val;
* this.left = left;
* this.right = right;
* }
* }
*/
class Solution {
public List<Integer> preorderTraversal(TreeNode root) {//前序
TreeNode p = root;//p用来记录当前栈顶左子树是否还需要遍历
LinkedList<TreeNode> stack = new LinkedList<>();
TreeNode last = null;//last用来记录前一个遍历完的子树根节点(前一个pop的节点)
List<Integer> l = new ArrayList<>();
while(p!=null||!stack.isEmpty())
{
if(p!=null)
{
stack.push(p);
System.out.println(p.val);//前序最大的特点就是入栈时候就输出节点的值
l.add(p.val);
p = p.left;
}
else
{
if(stack.peek().right==null||stack.peek().right==last)
{
last = stack.pop();
}
else
{
p = stack.peek().right;
}
}
}
return l;
}
public List<Integer> back(TreeNode root) {//后序
TreeNode p = root;//p用来记录当前栈顶左子树是否还需要遍历
LinkedList<TreeNode> stack = new LinkedList<>();
TreeNode last = null;//last用来记录前一个遍历完的子树根节点(前一个pop的节点)
List<Integer> l = new ArrayList<>();
while(p!=null||!stack.isEmpty())
{
if(p!=null)
{
stack.push(p);
p = p.left;
}
else
{
if(stack.peek().right==null||stack.peek().right==last)
{
last = stack.pop();//栈顶左子树为空或已遍历完,右子树也已遍历完或为空,则pop栈顶
System.out.println(last.val);
l.add(last.val);
}
else
{
p = stack.peek().right;
}
}
}
return l;
}
public List<Integer> midTree(TreeNode root)//中序
{
TreeNode p = root;//p用来记录当前栈顶左子树是否还需要遍历
LinkedList<TreeNode> stack = new LinkedList<>();
List<Integer> l = new ArrayList<>();//保存遍历结果
TreeNode last = null;//last用来记录前一个遍历完的子树根节点(前一个pop的节点)
while(p!=null||!stack.isEmpty())
{
if(p!=null)
{
stack.push(p);
p = p.left;
}
else
{
if(stack.peek().right!=last&&stack.peek().right!=null)
{
p = stack.peek().right;
}
last = stack.pop();//中序遍历的特点是左子树一为空或一遍历完就马上pop栈顶
System.out.println(last.val);
l.add(last.val);
}
}
return l;
}
}
二叉树的遍历有一个套路,就是都需要一个指针p,当p不为空时候将p入栈,然后p=p.left,进入下一轮循环,先一股脑走到左边到头。还需要一个变量last来记录之前pop的节点。
然后每当pop的时候,都将p置为空。然后当p为空的时候就说明当前栈顶节点的左子树为空,或者左子树已经遍历完。所以p就是用来判断当前栈顶的左子树是否需要遍历的,而p不为空的时候永远指向当前栈顶的左节点,说明当前栈顶的左节点还没有遍历,需要push进栈。
我们每次pop的时候,这个节点相对于他的根节点可能是左节点,也可能是右节点。那么因为不管前序,中序,后序遍历,左子树都先比右子树遍历完。那么如果这个节点是左节点,则正好令p为null,向下一个根节点表明它的左子树已经遍历完了,如果这个节点是右节点,则说明在它之前左节点也一定已经遍历完了。所以pop操作后面一定跟着要将p置为null。然后下一轮循环,栈顶节点就会知道,哦,我的左子树已经遍历完了。
我们用p来判断左子树是否遍历完或是否为空,如何判断当前栈顶的右子树是否遍历完呢?
我们需要一个变量last来记录之前pop的节点。每次pop之后,都将last指向pop出去的节点。
当p==null时,说明左子树都遍历完了或不需遍历,那么我们就判断一下栈顶节点的右子树是否为空或是否和last一致。如果右子树为空则说明栈顶的右子树不需要遍历,如果右子树和last一样说明右子树刚刚遍历完。
这样,在一轮循环中,我们就可以通过p来判断当前栈顶的左子树是否遍历,也可以通过last来判断当前节点的右子树是否被遍历。总体架构都是完全一样的。
前序,中序,后序的区别关键在于什么时候输出,和什么时候pop。
前序是入栈push的时候输出节点值,中序和后序都是出栈pop的时候输出节点值。
前序和后序都是当栈顶的右子树已经遍历完或右子树为空的时候pop,中序则是左子树一为空或一遍历完就马上pop栈顶节点。
其实总得来说,二叉树的遍历基本都是先根,再左子树,再根,再右子树的路径,只不过遍历的结果和什么时候输出根节点的值有关。
这篇博客详细介绍了二叉树的前序、中序和后序遍历的Java实现,并通过一个通用的遍历套路进行解释。在遍历过程中,使用了指针p和变量last来跟踪当前遍历状态,确保正确遍历左子树和右子树。文章还对比了三种遍历方式在何时输出节点值和何时弹栈的区别,帮助理解二叉树遍历的基本逻辑。
572

被折叠的 条评论
为什么被折叠?



