二叉树的层序遍历(多道题目)
给你二叉树的根节点 root ,返回其节点值的 层序遍历 。 (即逐层地,从左到右访问所有节点)。
示例 1:

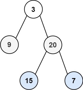
输入:root = [3,9,20,null,null,15,7] 输出:[[3],[9,20],[15,7]]
文章讲解:代码随想录
视频讲解:讲透二叉树的层序遍历 | 广度优先搜索 | LeetCode:102.二叉树的层序遍历_哔哩哔哩_bilibili
第一印象:层层遍历,用队列先进先出,每个节点再指向左右两个节点。
class Solution {
public List<List<Integer>> levelOrder(TreeNode root) {
Queue<TreeNode> queue = new LinkedList<>();
List<List<Integer>> result = new ArrayList<List<Integer>>();
if (root == null) return result;
TreeNode node = root;
queue.offer(node);
while (!queue.isEmpty()) {
List<Integer> level = new ArrayList<>();
int size = queue.size();
for (int i = 0; i < size; i++) {
node = queue.poll();
level.add(node.val);
if (node.left != null) {
queue.offer(node.left);
}
if (node.right != null) {
queue.offer(node.right);
}
}
result.add(level);
}
return result;
}
}
给你二叉树的根节点 root ,返回其节点值 自底向上的层序遍历 。 (即按从叶子节点所在层到根节点所在的层,逐层从左向右遍历)
示例 1:

输入:root = [3,9,20,null,null,15,7] 输出:[[15,7],[9,20],[3]]
第一印象:这边我偷了个懒,我将102的结果反转就是该题答案,官方题解好像也偷懒?我的想法是用栈先进后出的特性也是可以做到的(应该),由于时间比较赶没有尝试,二刷再尝试吧。
class Solution {
public List<List<Integer>> levelOrderBottom(TreeNode root) {
Queue<TreeNode> queue = new LinkedList<>();
List<List<Integer>> result = new ArrayList<List<Integer>>();
if (root == null) return result;
TreeNode node = root;
queue.offer(node);
while (!queue.isEmpty()) {
List<Integer> level = new ArrayList<>();
int size = queue.size();
for (int i = 0; i < size; i++) {
node = queue.poll();
level.add(node.val);
if (node.left != null) {
queue.offer(node.left);
}
if (node.right != null) {
queue.offer(node.right);
}
}
result.add(level);
}
Collections.reverse(result);
return result;
}
}
给定一个二叉树的 根节点 root,想象自己站在它的右侧,按照从顶部到底部的顺序,返回从右侧所能看到的节点值。
示例 1:

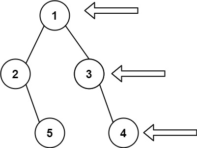
输入: [1,2,3,null,5,null,4] 输出: [1,3,4]
第一印象:我对于这道题的理解是层序遍历,取最右边节点的值,遍历的时候node节点是一只更新的,直到遍历到这一行最后一个节点为止,所以只需要在遍历一层后,在result中添加node的值即可。
class Solution {
public List<Integer> rightSideView(TreeNode root) {
Queue<TreeNode> queue = new LinkedList<>();
List<Integer> result = new ArrayList<>();
if (root == null) return result;
TreeNode node = root;
queue.offer(node);
while (!queue.isEmpty()) {
int size = queue.size();
for (int i = 0; i < size; i++) {
node = queue.poll();
if (node.left != null) {
queue.offer(node.left);
}
if (node.right != null) {
queue.offer(node.right);
}
}
result.add(node.val);
}
return result;
}
}
给定一个非空二叉树的根节点 root , 以数组的形式返回每一层节点的平均值。与实际答案相差 10-5 以内的答案可以被接受。
示例 1:

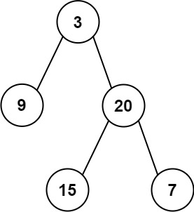
输入:root = [3,9,20,null,null,15,7] 输出:[3.00000,14.50000,11.00000]
第一印象:广度优先搜索。每层遍历,每层算平均值,然后添加到结果数组中。
class Solution {
public List<Double> averageOfLevels(TreeNode root) {
List<Double> result = new ArrayList<>();
if (root == null) return result;
Queue<TreeNode> queue = new LinkedList<>();
TreeNode node = root;
queue.offer(node);
while(!queue.isEmpty()) {
int size = queue.size();
double level = 0;
for (int i = 0; i < size; i++) {
node = queue.poll();
level += node.val;
if (node.left != null) {
queue.offer(node.left);
}
if (node.right != null) {
queue.offer(node.right);
}
}
result.add(level / size);
}
return result;
}
}
给定一个 N 叉树,返回其节点值的层序遍历。(即从左到右,逐层遍历)。
树的序列化输入是用层序遍历,每组子节点都由 null 值分隔(参见示例)。
示例 1:

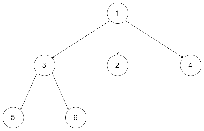
输入:root = [1,null,3,2,4,null,5,6] 输出:[[1],[3,2,4],[5,6]]
第一印象:和二叉树的层序遍历差不多,只要将每个儿子节点都遍历就可以。
class Solution {
public List<List<Integer>> levelOrder(Node root) {
Queue<Node> queue = new LinkedList<>();
List<List<Integer>> result = new ArrayList<List<Integer>>();
if (root == null) return result;
Node node = root;
queue.offer(node);
while (!queue.isEmpty()) {
int size = queue.size();
List<Integer> level = new ArrayList<>();
for (int i = 0; i < size; i++) {
node = queue.poll();
level.add(node.val);
for (Node child : node.children) {
queue.offer(child);
}
}
result.add(level);
}
return result;
}
}
给定一棵二叉树的根节点 root ,请找出该二叉树中每一层的最大值。
示例1:

输入: root = [1,3,2,5,3,null,9] 输出: [1,3,9]
第一印象:广度优先搜索。
class Solution {
public List<Integer> largestValues(TreeNode root) {
List<Integer> result = new ArrayList<>();
if (root == null) return result;
Queue<TreeNode> queue = new LinkedList<>();
TreeNode node = root;
queue.offer(node);
while (!queue.isEmpty()) {
int size = queue.size();
int level = Integer.MIN_VALUE;
for (int i = 0; i < size; i++) {
node = queue.poll();
level = Math.max(level, node.val);
if (node.left != null) {
queue.offer(node.left);
}
if (node.right != null) {
queue.offer(node.right);
}
}
result.add(level);
}
return result;
}
}
给定一个 完美二叉树 ,其所有叶子节点都在同一层,每个父节点都有两个子节点。二叉树定义如下:
struct Node {
int val;
Node *left;
Node *right;
Node *next;
}
填充它的每个 next 指针,让这个指针指向其下一个右侧节点。如果找不到下一个右侧节点,则将 next 指针设置为 NULL。
初始状态下,所有 next 指针都被设置为 NULL。
示例 1:

输入:root = [1,2,3,4,5,6,7] 输出:[1,#,2,3,#,4,5,6,7,#]
class Solution {
public Node connect(Node root) {
if (root == null) return root;
Queue<Node> queue = new LinkedList<Node>();
queue.add(root);
while (!queue.isEmpty()) {
int size = queue.size();
for (int i = 0; i < size; i++) {
Node node = queue.poll();
if (i < size - 1) {
node.next = queue.peek();
}
if (node.left != null) {
queue.offer(node.left);
}
if (node.right != null) {
queue.offer(node.right);
}
}
}
return root;
}
}
给定一个二叉树 root ,返回其最大深度。
二叉树的 最大深度 是指从根节点到最远叶子节点的最长路径上的节点数。
示例 1:

输入:root = [3,9,20,null,null,15,7] 输出:3
第一印象:广度优先搜索。
class Solution {
public int maxDepth(TreeNode root) {
int result = 0;
if (root == null) return result;
Queue<TreeNode> queue = new LinkedList<>();
TreeNode node = root;
queue.offer(node);
while (!queue.isEmpty()) {
int size = queue.size();
for (int i = 0; i < size; i++) {
node = queue.poll();
if (node.left != null) {
queue.offer(node.left);
}
if (node.right != null) {
queue.offer(node.right);
}
}
result++;
}
return result;
}
}
给定一个二叉树,找出其最小深度。
最小深度是从根节点到最近叶子节点的最短路径上的节点数量。
说明:叶子节点是指没有子节点的节点。
示例 1:

输入:root = [3,9,20,null,null,15,7] 输出:2
第一印象:广度优先搜索,遇到叶子节点直接输出。
class Solution {
public int minDepth(TreeNode root){
if (root == null) return 0;
Queue<TreeNode> queue = new LinkedList<>();
TreeNode node = root;
queue.offer(node);
int depth = 0;
while (!queue.isEmpty()){
int size = queue.size();
depth++;
for (int i = 0; i < size; i++) {
node = queue.poll();
if (node.left == null && node.right == null){
return depth;
}
if (node.left != null) queue.offer(node.left);
if (node.right != null) queue.offer(node.right);
}
}
return depth;
}
}
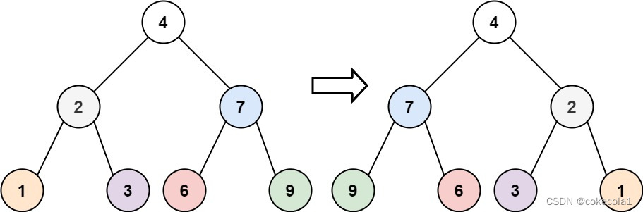
给你一棵二叉树的根节点 root ,翻转这棵二叉树,并返回其根节点。
示例 1:
输入:root = [4,2,7,1,3,6,9] 输出:[4,7,2,9,6,3,1]
文章讲解:代码随想录
视频讲解:听说一位巨佬面Google被拒了,因为没写出翻转二叉树 | LeetCode:226.翻转二叉树_哔哩哔哩_bilibili
第一印象:感觉广度优先搜索可以做,先交换儿子节点,再遍历每层。
看完讲解:递归法和广度优先搜索都需要掌握。
// BFS
class Solution {
public TreeNode invertTree(TreeNode root) {
if (root == null) return null;
Queue<TreeNode> queue = new LinkedList<>();
TreeNode node = root;
queue.offer(node);
while (!queue.isEmpty()) {
int size = queue.size();
for (int i = 0; i < size; i++) {
node = queue.poll();
swap(node);
if (node.left != null) {
queue.offer(node.left);
}
if (node.right != null) {
queue.offer(node.right);
}
}
}
return root;
}
public void swap(TreeNode node) {
TreeNode tmp = node.left;
node.left = node.right;
node.right = tmp;
}
}
// 递归
class Solution {
public TreeNode invertTree(TreeNode root) {
if (root == null) return null;
swapChildren(root);
invertTree(root.left);
invertTree(root.right);
return root;
}
public void swapChildren(TreeNode node) {
TreeNode tmp = node.left;
node.left = node.right;
node.right = tmp;
}
}
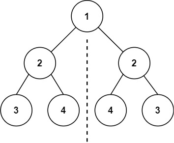
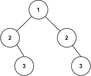
给你一个二叉树的根节点 root , 检查它是否轴对称。
示例 1:

输入:root = [1,2,2,3,4,4,3] 输出:true
示例 2:

输入:root = [1,2,2,null,3,null,3] 输出:false
文章讲解:代码随想录
视频讲解:新学期要从学习二叉树开始! | LeetCode:101. 对称二叉树_哔哩哔哩_bilibili
第一印象:第一想法是递归,但是要掌握递归的终止条件和循环体。
看完讲解:递归可以做,注意一些细节,比如比较值应该在判断指针是否为空之后;对于双端队列也是一样的细节,还有个小细节是ArrayQueue不能存入null,所以本题应当使用LinkedList来实现双端队列。
// 递归
class Solution {
public boolean isSymmetric(TreeNode root) {
if (root == null) return true;
return dfs(root.left, root.right);
}
public boolean dfs(TreeNode left, TreeNode right) {
if (left == null && right == null) return true;
if (left == null || right == null) return false;
if (left.val != right.val) return false;
return dfs(left.left, right.right) && dfs(left.right, right.left);
}
}
// 双端队列
class Solution {
public boolean isSymmetric(TreeNode root) {
if (root == null || root.left == null && root.right == null) return true;
Deque<TreeNode> deque = new LinkedList<>();
deque.add(root.left);
deque.add(root.right);
while (!deque.isEmpty()) {
TreeNode left = deque.removeFirst();
TreeNode right = deque.removeFirst();
if (left == null && right == null) continue;
if (left == null || right == null) return false;
if (left.val != right.val) return false;
deque.add(left.left);
deque.add(right.right);
deque.add(left.right);
deque.add(right.left);
}
return true;
}
}
今日小结:二叉树这章节很重要,这一小节的题目比较多,但是都是相对基础。明天继续加油吧!
文章介绍了二叉树的层序遍历算法,包括常规方法、自底向上遍历和特定问题如右视图、层平均值、N叉树遍历等,还涉及了广度优先搜索在解决这些问题中的应用。
705

被折叠的 条评论
为什么被折叠?



