你可以选择使用单链表或者双链表,设计并实现自己的链表。
单链表中的节点应该具备两个属性:val 和 next 。val 是当前节点的值,next 是指向下一个节点的指针/引用。
如果是双向链表,则还需要属性 prev 以指示链表中的上一个节点。假设链表中的所有节点下标从 0 开始。
实现 MyLinkedList 类:
MyLinkedList()初始化MyLinkedList对象。int get(int index)获取链表中下标为index的节点的值。如果下标无效,则返回-1。void addAtHead(int val)将一个值为val的节点插入到链表中第一个元素之前。在插入完成后,新节点会成为链表的第一个节点。void addAtTail(int val)将一个值为val的节点追加到链表中作为链表的最后一个元素。void addAtIndex(int index, int val)将一个值为val的节点插入到链表中下标为index的节点之前。如果index等于链表的长度,那么该节点会被追加到链表的末尾。如果index比长度更大,该节点将 不会插入 到链表中。void deleteAtIndex(int index)如果下标有效,则删除链表中下标为index的节点。
文章讲解:代码随想录
视频讲解:帮你把链表操作学个通透!LeetCode:707.设计链表_哔哩哔哩_bilibili
第一印象:对于这道题的第一印象就是链表的各个接口的实现,是很基础的东西,但是又很细节,在扣代码的时候经常会报错,从而扣了好久,反复检查实际上也是细节上的错误。我觉得常见的错误在于循环终止条件,因为有虚拟头节点的存在,要反复注意范围。
看完视频讲解:还是要注意细节。
class ListNode {
int val;
ListNode next;
ListNode(){}
ListNode(int val) {
this.val=val;
}
}
class MyLinkedList {
int size;
ListNode dummy;
public MyLinkedList() {
size = 0;
dummy = new ListNode(0);
}
public int get(int index) {
if (index < 0 || index >= size) {
return -1;
}
ListNode cur = dummy;
for (int i = 0; i <= index; i++) {
cur = cur.next;
}
return cur.val;
}
public void addAtHead(int val) {
size++;
ListNode newNode = new ListNode(val);
newNode.next = dummy.next;
dummy.next = newNode;
}
public void addAtTail(int val) {
size++;
ListNode cur = dummy;
ListNode newNode = new ListNode(val);
while (cur.next != null) {
cur = cur.next;
}
cur.next = newNode;
}
public void addAtIndex(int index, int val) {
if (index > size) {
return;
}
if (index < 0) {
index = 0;
}
size++;
ListNode pred = dummy;
for (int i = 0; i < index; i++) {
pred = pred.next;
}
ListNode toAdd = new ListNode(val);
toAdd.next = pred.next;
pred.next = toAdd;
}
public void deleteAtIndex(int index) {
if (index < 0 || index >= size) {
return;
}
size--;
if (index == 0) {
dummy = dummy.next;
return;
}
ListNode pred = dummy;
for (int i = 0; i < index ; i++) {
pred = pred.next;
}
pred.next = pred.next.next;
}
}
/**
* Your MyLinkedList object will be instantiated and called as such:
* MyLinkedList obj = new MyLinkedList();
* int param_1 = obj.get(index);
* obj.addAtHead(val);
* obj.addAtTail(val);
* obj.addAtIndex(index,val);
* obj.deleteAtIndex(index);
*/
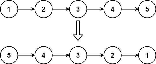
给你单链表的头节点 head ,请你反转链表,并返回反转后的链表。
示例 1:

输入:head = [1,2,3,4,5] 输出:[5,4,3,2,1]
文章讲解:代码随想录
视频讲解:帮你拿下反转链表 | LeetCode:206.反转链表 | 双指针法 | 递归法_哔哩哔哩_bilibili
第一印象:说实话没想出来。
看完讲解:真是双指针大法好,我觉得自己还是需要多多积累,类似问题双指针十分好用,双指针迭代法非常好理解,如果画一张图的话,递归法还是需要多多理解,我想我在后期刷二叉树的时候再做加强。本质上两种方法都是双指针,在这方面要多多加强。
class Solution {
public ListNode reverseList(ListNode head) {
ListNode curr = head;
ListNode pred = null;
ListNode tmp = null;
while (curr != null) {
tmp = curr.next;
curr.next = pred;
pred = curr;
curr = tmp;
}
return pred;
}
}
本文介绍了如何设计和实现单链表和双向链表,包括MyLinkedList类的方法如get,addAtHead,addAtTail,addAtIndex,deleteAtIndex,以及如何使用双指针法实现反转链表的操作。
1183






