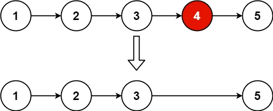
给你一个链表,删除链表的倒数第 n 个结点,并且返回链表的头结点。
示例 1:

输入:head = [1,2,3,4,5], n = 2 输出:[1,2,3,5]
文章讲解:代码随想录
视频讲解:链表遍历学清楚! | LeetCode:19.删除链表倒数第N个节点_哔哩哔哩_bilibili
第一印象:看到这个就想到了双指针法,但是要提及具体的思路就完蛋了,其实还是双指针的理解不够深刻,还是需要看文章讲解,看了之后就思路一点通。
看完讲解:由此看得出有思路和会写代码实际上是两种情况。我要做的就是在博客中记录下来,然后反复刷题,直到出现”肌肉记忆“。
class Solution {
public ListNode removeNthFromEnd(ListNode head, int n){
ListNode dummy = new ListNode(0);
dummy.next = head;
ListNode fast =dummy;
ListNode slow =dummy;
while (n-- > 0 && fast != null) {
fast = fast.next;
}
fast = fast.next;
while (fast != null) {
fast = fast.next;
slow = slow.next;
}
slow.next = slow.next.next;
return dummy.next;
}
}
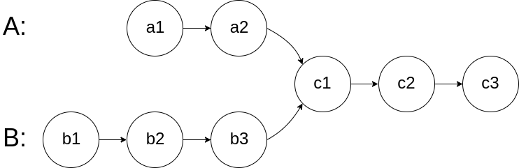
给你两个单链表的头节点 headA 和 headB ,请你找出并返回两个单链表相交的起始节点。如果两个链表没有交点,返回 null 。
图示两个链表在节点 c1 开始相交:
题目数据 保证 整个链式结构中不存在环。
注意,函数返回结果后,链表必须 保持其原始结构 。
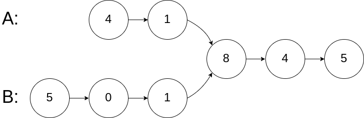
示例 1:
输入:intersectVal = 8, listA = [4,1,8,4,5], listB = [5,0,1,8,4,5], skipA = 2, skipB = 3 输出:Intersected at '8' 解释:相交节点的值为 8 (注意,如果两个链表相交则不能为 0)。 从各自的表头开始算起,链表 A 为 [4,1,8,4,5],链表 B 为 [5,0,1,8,4,5]。 在 A 中,相交节点前有 2 个节点;在 B 中,相交节点前有 3 个节点。
文章讲解:代码随想录
第一印象:说实话第一印象是有点懵逼的,只能算是有点思路,也想到了指针相等。
看完讲解:看完讲解之后非常清晰,一开始对指针相等和值相等有些模糊,做完这道题可以有所收获,希望二刷反复练习。其中的第一次做错误的点有,在对齐链表尾端之前,要重置操作头节点,算是个小细节。
public class Solution {
public ListNode getIntersectionNode(ListNode headA, ListNode headB) {
ListNode curA = headA;
ListNode curB = headB;
int lenA = 0;
int lenB = 0;
while (curA != null) {
lenA++;
curA = curA.next;
}
while (curB != null) {
lenB++;
curB = curB.next;
}
curA = headA;
curB = headB;
if (lenB > lenA) {
int tmp = lenA;
lenA = lenB;
lenB = tmp;
ListNode temp = curA;
curA = curB;
curB = temp;
}
int gap = lenA - lenB;
while (gap-- > 0) {
curA = curA.next;
}
while (curA != null) {
if (curA == curB) {
return curA;
}
curA = curA.next;
curB = curB.next;
}
return null;
}
}
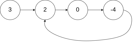
给定一个链表的头节点 head ,返回链表开始入环的第一个节点。 如果链表无环,则返回 null。
如果链表中有某个节点,可以通过连续跟踪 next 指针再次到达,则链表中存在环。 为了表示给定链表中的环,评测系统内部使用整数 pos 来表示链表尾连接到链表中的位置(索引从 0 开始)。如果 pos 是 -1,则在该链表中没有环。注意:pos 不作为参数进行传递,仅仅是为了标识链表的实际情况。
不允许修改 链表。
示例 1:

输入:head = [3,2,0,-4], pos = 1 输出:返回索引为 1 的链表节点 解释:链表中有一个环,其尾部连接到第二个节点。
文章讲解:代码随想录
视频讲解:把环形链表讲清楚! 如何判断环形链表?如何找到环形链表的入口? LeetCode:142.环形链表II_哔哩哔哩_bilibili
第一印象:快慢指针法,但是不知道怎么判断入口节点。
看完讲解:数学方法,可以推出当圈数等于1的时候,index1到入口节点的距离和头节点到入口节点的距离是一样的。圈数大于1的时候,我自己琢磨了一下抽象概念,因为fast指针相对于slow指针每次多走1,所以在slow进入环之前如果fast在环里面绕圈的话,就是相当于多绕了一圈,所以最后相遇的节点和绕的圈数无关。这道题值得反复练习,即使不能够理解,也要背出环形链表入口的结论,即相遇点和头节点都每次移动一个节点,直到相遇,该节点就是入口节点。
public class Solution {
public ListNode detectCycle(ListNode head) {
ListNode fast = head;
ListNode slow = head;
while (fast != null && fast.next != null) {
fast = fast.next.next;
slow = slow.next;
if (fast == slow) {
ListNode index1 = fast;
ListNode index2 = head;
while (index1 != index2) {
index1 = index1.next;
index2 = index2.next;
}
return index1;
}
}
return null;
}
}
文章讲述了如何用双指针法解决链表问题,包括删除链表的倒数第N个节点,找出两个链表的相交点,以及检测环形链表的入口节点。通过实例和代码实现展示了这些算法的应用。







