数据结构
结构,简单的理解就是关系,些如分子结构,就是说组成分子的原子之间的排到方式。严格点说,结构是指各个组成部分相互搭配和排的方式。在现实世界中,不同数据元素之间不是独立的,而是存在特定的关系,我们将这些关系称为结构。那数据结构是什么?
数据结构:是相互之间存在一种或多种特定关系的数据元素的集合。
在计算机虫,数据元素并不是孤立、杂乱无序的,而是具有内在联系的数据集合。数据元素之间存在的一种或多种特定关系,也就是数
据的组织形式。
为编写出-个好"的程序,必须分析待处理对象的特性及各处理对象之间存在的关系。这也就是研究数据结构的意义所在。
数据结构分为逻辑结构和物理结构

逻辑结构
逻辑结构:是指数据对象中数据元素之间的相互关系。其实这也是我们今后最需要关注的问题。逻辑结构分为以下四种:
1.集合结构:
集合结构:集合结构中的数据元素除了同属于一个集合外它们之间没有其他关系。各个数据元素是“平等"的,它们的共同属性是"同属
于一个集合”。数据结构中的集合关系就类似于数学中的集合

2 线性结构:
数据元素之间一对一的关系

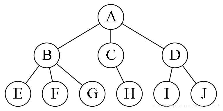
3.树状结构:
数据元素之间存在一对多的关系

4.图形结构:
数据中的元素是多对多的关系

物理结构:
说完了逻辑结构,我们再来说说数据的物理结构(很多书中也叫做存储结构,你只要在理解上把它们当回事就可以了)。
物理结构:是指数据的逻辑结构在计算机中的存储形式。
数据是数据元素的集合,那么根据物理结构的定义,实际上就是如何把数据元素存储到计算机的存储器中。存储器主要是针对内存而言
的,像硬盘、软盘、光盘等外部存储器的数据组织通常用文件结构来描述。
数据的存储结构应正确反映数据元素之间的逻辑关系,这才是最为关键的,如何存储数据元素之间的逻辑关系,是实现物理结构的重点
和难点。
数据元素的存储结构形式有两种:顺序存储和链式存储。
1.顺序存储结构
顺序存储结构:是把数据元素存放在地址连续的存储单元里,其数据间的逻辑关系和物理关系是一致的(如图所示)。
这种存储结构其实很简单,说自了,就是排队点位。大家都按顺序排好,每个人点一小段空间,大家谁也别插谁的队。我们之前学计算
机语言时,数组就是这样的顺序存储结构。当你告诉计算机,你要建立一一个有9个整型数据的数组时,计算机就在内存中找了片空地,按
照一个整型所占位置的大小乘以9,开辟一段连续的空间, 于是第一个数组数据就放在第一个位置, 第二个数据放在第二个,这样依次摆放。
2.链式存储结构
如果就是这么简单和有规律。一切就好办了。可实际上2总会有也会有人要上厕所:有人会放弃排队。所以这个队伍中会添加等成员,也有可能会去掉老元素,整个结构时刻都处于变化中,显然面对这样时常要变化的结构,顺序存储是不科学的。那怎么办呢?
现在如银行、医院等地方,设置了排队系统,也就是每个人去了。先领一个号,等着叫号,叫到时去办理业务或看病。在等待的时候,你爱在哪在哪,可以坐着、站着或者走动,甚至出去涟一圈,只要及时回来就行。你关注的是前一个号有没有被响到,响到了,下一个就轮到了。
链式存储结构是把数据示素存放在任意的存储单元黑,这组存储单元可以是连续的,也可以是否连续的。数据元素的存储关系并不能及映其逻辑关系,因此需要用一个指针存放数据元素的地址;这样通过地址就可以我到相关联数据元素的位置(如图1-5-6所示)。

数据结构和算法的关系
➢数据data结 构(structure)是一门研究组织数据方式的学科,有了编程语言也就有了
数据结构.学好数据结构可以编写出更加漂亮更加有效率的代码。
➢要学习好数据结构就要多多考虑如何将生活中遇到的问题,用程序去实现解决.
➢程序=数据结构+算法
➢数据结构是算法的基础,换言之,想要学好算法,需要把数据结构学到位。
线性链表和非线性链表
数据结构包括:线性结构和非线性结构。
线性结构
1)线性结构作为最常用的数据结构,其特点是数据元素之间存在- -对- - 的线性关系(a[0]=30)
2)线性结构有两种不同的存储结构,即顺序存储结构(最经典数组)和链式存储结构(经典链表)。顺序存储的线性表称为顺序表,顺序表中的存储元素是连续的。(指存储元素的地址是连续的)
3)链式存储的线性表称为链表,链表中的存储元素不一定是连续的,元素节点中存放数据元素以及相邻元素的地址信息
4)线性结构常见的有:数组、队列、链表和栈,后面我们会详细讲解.
非线性结构
非线性结构包括:二 维数组, 多维数组, 广义表,树结构,图结构
稀疏数组和队列
稀疏Sparsearray数组

基本介绍
当一个数组中大部分元素为0,或者为同一个值的数组时,可以使用稀疏数组来保存该数组。
稀疏数组的处理方法是: .
1)记录数组一共有几行几列,有多少个不同的值
2)把具有不同值的元素的行列及值记录在一个小规模的数组中,从而缩小程序的规模
右图的第一行【0】的6是一共6行,7一共7列,8指一共8个值
原来的数组是67=42大小的数组,可以将其变成93=27的稀疏数组
应用实例
1)使用稀疏数组,来保留类似前面的二维数组(棋盘、地图等等)
2)把稀疏数组存盘,并且可以从新恢复原来的二维数组数
3)整体思路分析
代码实现:
public class Sparcesearray {
public static void main(String[] args) {
//第一步 创建一个11*11的二维数组
//给二维数组中添加棋子
//1 表示黑子,2表示蓝色的,0表示没有棋子
int cheersArray[][] = new int[11][11];
cheersArray[1][2] =1;
cheersArray[2][3] =2;
cheersArray[4][5] =2;
for (int[] ints : cheersArray) {
for (int i : ints) {
System.out.print("\t"+i);
}
System.out.println();
}
// 获取二维数组中元素不为0的个数 sum
int sum=0;
for (int i = 0; i < 11; i++) {
for (int j = 0; j < 11; j++) {
if (cheersArray[i][j]!=0){
sum++;
}
}
}
System.out.println("sum个数是"+sum);
//创建稀疏数组
int specArray[][] =new int[sum+1 ][3];
specArray[0][0] =11;
specArray[0][1] =11;
specArray[0][2] =sum;
//将二维数组中不为0的数放入到稀疏数组中去
int count=0;
for (int i = 0; i < 11; i++) {
for (int j = 0; j < 11; j++) {
if (cheersArray[i][j]!=0){
count++;
specArray[count][0]=i;
specArray[count][1]=j;
specArray[count][2]=cheersArray[i][j];
}
}
}
System.out.println("二维数组变成的稀疏数组是:");
for (int[] ints : specArray) {
for (int anInt : ints) {
System.out.print("\t"+anInt);
}
System.out.println();
}
System.out.println("稀疏数组再次变为原来的二维数组是");
//第三步将稀疏数组再次变成二维数组
int cheersArray2[][] =new int[specArray[0][0]] [specArray[0][1]];
//将稀疏数组中的值再次赋值给二维数组(循环从1开始,因为稀疏数组从第二行开始才是值)
for (int i = 1; i <specArray.length ; i++) {
cheersArray2[specArray[i][0]][specArray[i][1]] =specArray[i][2];
}
for (int[] ints : cheersArray2) {
for (int anInt : ints) {
System.out.print("\t"+anInt);
}
System.out.println();
}
}
}
队列
队列介绍
1)队列是一个有序列表,可以用数组或是链表来实现。
2)遵循先入先出的原则。即:先存入队列的数据,要先取出。后存入的要后取出
3)示意图:
数组模拟队列思路
队列本身是有序列表,若使用数组的结构来存储队列的数据,则队列数组的声明如下图,其中maxSize是该队列的最大容量。
因为队列的输出、输入是分别从前后端来处理,因此需要两个变量front及rear分别记录队列前后端的下标,front会随着数据输出而改变,而rear则是随着数据输入而改变,如图所示
当我们将数据存入队列时称为”addQueue”,addQueue的处理需要有两个步骤:思路分析
1)将尾指针往后移:rear+1,当front == rear【空】
2)若尾指针rear小于队列的最大下标maxSize-1,则将数据存入rear所指的数组元素中,否则无法存入数据。rear==maxSize-1[队列满]
//使用数组模拟队列
public class ArrayQueue {
private int maxSize;//队列最大的大小
private int front;//指向队列的头
private int real;//指向队列的尾部
private int array[];//该数组用于数据的存储,模拟队列的存取
//创建队列的构造器
public ArrayQueue(int arraymaxSize){
maxSize=arraymaxSize;
array=new int[maxSize];
front=-1;//指向队列头部的前一个位置
real=-1;//指向队列尾部的数据(可能是队列最后一个数据)
}
//是否是满的
public Boolean isFull(){
return real ==maxSize-1;
}
//是否是空的
public Boolean isEmpty(){
return front==real;
}
//向队列中添加数据
public void addQueue(int n){
if (isFull()){
System.out.println("对不起队列满了不能加入数据");
return;
}
real++;//尾部后移
array[real]=n;
}
public int getQueue(){
if (isEmpty()){
throw new RuntimeException("对不起,队列没有数据可取");
}
front++;//让front后移
return array[front];
}
//显示所有的队列数据
public void list(){
if (isEmpty()){
System.out.println("队列中没有数据,请先插入数据");
}
for (int i = 0; i <array.length ; i++) {
System.out.println(+array[i]);
}
}
//查看队列头部的数据
public int peak(){
if (isEmpty()){
throw new RuntimeException("队列中,没有数据请先插入数据");
}
return array[front+1];
}
public static void main(String[] args) {
ArrayQueue queue = new ArrayQueue(3);
Boolean loop=true;
char key =' ';
Scanner scanner = new Scanner(System.in);
while(loop){
System.out.println("s(show) :显示对列");
System.out.println("e(exit) :退出对列");
System.out.println("a(add) :添加对列");
System.out.println("g(get) :获取对列的值");
System.out.println("h(head) :查看队列头部的值");
key= scanner.next().charAt(0);
switch (key){
case 's':
queue.list();
break;
case 'e':
scanner.close();
loop=false;
break;
case 'a':
System.out.println("请输入一个数字");
int value =scanner.nextInt();
queue.addQueue(value);
break;
case 'g':
try{
int res =queue.getQueue();
System.out.println("取出的数据是"+res);
}catch (Exception e){
e.printStackTrace();
}
break;
case 'h':
try {
int head = queue.peak();
System.out.println("查看头部的数据是"+head);
}catch (Exception e){
e.printStackTrace();
}
break;
default:break;
}
}
System.out.println("程序退出");
}
}
问题分析及优化:
目前这个数组,只能一次使用,后面不能复用;
接下来我们要用一个算法实现数组的循环使用,改进成一个环形数组取模%
数组模拟环形队列
对前面的数组模拟队列的优化,充分利用数组.因此将数组看做是一个环形的。(通过取模的方式来实现即可)
分析说明:
1)尾索引的下一个为头索引时表示队列满,即将队列容量空出一个作为约定,这个在做判断队列满的时候需要注意(rear+1)%maxSize == front满]
2)rear==front[空]
3)分析示意图:
代码实现:
class CircleArray{
int maxSize;//队列最大的大小
//front指向队列的第一个元素
//front=0;
int front;//指向队列的头
//real指向队列最后一个元素的下一个位置
//real=0;
int real;//指向队列的尾部
private int array[];//该数组用于数据的存储,模拟队列的存取
public CircleArray(int arrymaxSize){
maxSize=arrymaxSize;
array=new int[maxSize];
}
//是否是满的
public Boolean isFull(){
return ( real +1) % maxSize==front;
}
//是否是空的
public Boolean isEmpty(){
return front==real;
}
//向队列中添加数据
public void addQueue(int n){
if (isFull()){
System.out.println("对不起队列满了不能加入数据");
return;
}
array[real]=n;
real=(real+1) % maxSize;
}
//从队列中取出数据
public int getQueue(){
if (isEmpty()){
throw new RuntimeException("对不起,队列没有数据可取");
}
//这里我们分析到front指向的默认是第一个元素
//第一步先将array【front】取出,保存在临时变量里
//第二步front后移
//第三步返回临时的变量
int value= array[front];
front=(front+1)%maxSize;
return value;
}
//显示所有的队列数据
public void list(){
if (isEmpty()){
System.out.println("队列中没有数据,请先插入数据");
}
for (int i = front; i <front+numbers() ; i++) {
System.out.println("循环队列的数据是:"+i%maxSize+array[i]);
}
}
//计算出当前有效数据的个数
public int numbers(){
return (real+maxSize-front)%maxSize;
}
//查看队列头部的数据
public int peak(){
if (isEmpty()){
throw new RuntimeException("队列中,没有数据请先插入数据");
}
return array[front];
}
public static void main(String[] args) {
CircleArray queue = new CircleArray(3);
Boolean loop=true;
char key =' ';
Scanner scanner = new Scanner(System.in);
while(loop){
System.out.println("s(show) :显示对列");
System.out.println("e(exit) :退出对列");
System.out.println("a(add) :添加对列");
System.out.println("g(get) :获取对列的值");
System.out.println("h(head) :查看队列头部的值");
key= scanner.next().charAt(0);
switch (key){
case 's':
queue.list();
break;
case 'e':
scanner.close();
loop=false;
break;
case 'a':
System.out.println("请输入一个数字");
int value =scanner.nextInt();
queue.addQueue(value);
break;
case 'g':
try{
int res =queue.getQueue();
System.out.println("取出的数据是"+res);
}catch (Exception e){
e.printStackTrace();
}
break;
case 'h':
try {
int head = queue.peak();
System.out.println("查看头部的数据是"+head);
}catch (Exception e){
e.printStackTrace();
}
break;
default:break;
}
}
System.out.println("程序退出");
}
}
链表(Linked List)
链表是有序的列表,但是它在内存中是存储如下小结上图:

1)链表是以节点的方式来存储,是链式存储
2)每个节点包含data域,next域:指向下一个节点
.3)如图:发现链表的各个节点不一定是连续存储.
4)链表分带头节点的链表和没有头节点的链表,根据实际的需求来确定单链表(带头结点)逻辑结构示意图如下
1)第一种方法在添加英雄时,直接添加到链表的尾部思路分析示意图:

2)第二种方式在添加英雄时,根据排名将英雄插入到指定位置(如果有这个排名,则添加失败,并给出提示)思路的分析示意图:

3)修改节点功能思路(1)先找到该节点,通过遍历,(2)temp.name=newHeroNode.name;temp.nickname=newHeroNode.nickname
4)删除节点
5)代码实现
package com.zy.LinkedList;
/**
* Created by MR.ZHANG on 2020/8/6 20:06
*/
public class SingleLikedList {
//先初始化一个头节点,头节点不要动,不方具体的数据
private HereNode head =new HereNode(0,"","");
//添加节点到单向链表
//思路当不考虑编号顺序时,
//1.找到当前链路的节点,
//将最后节点的next指向新的节点
public void add(HereNode hereNode){
//因为头节点不能动,所以我们需要一个临时temp去协助遍历
HereNode temp=head;
//遍历链表找到最后
while(true){
if (temp.next==null){
break;
}
//如果没有找到,就将temp后移到下一个节点
temp = temp.next;
}
//当退出while循环时就表示,temp指向了链表的尾部
//将最后节点的next指向新的节点
temp.next=hereNode;
}
//第二种添加英雄的方法,按照排名插入
//如果插入的排名已经存在就不能插入成功,并返回一定的提示信息
public void addHereByOder(HereNode hereNode){
//因为头节点不能动,所以我们需要辅助变量帮助我们遍历
//因为是单链表所以temp指向的是要插入结点的前一个节点
HereNode temp =hereNode;
Boolean flag =false;//设置英雄是否存在,默认不存在
while(true){
if (temp.next==null){
//表示已经再链表的结尾
break;
}
if (temp.next.no>hereNode.no){//找到了可以插入的位置
break;
}else if (temp.next.no==hereNode.no){
flag=true;//说明已经存在
break;
}
temp=temp.next;
}
if (flag){
System.out.println("角色已存在,插入失败");
}else{
//插入到链表中,temp的后面
hereNode.next=temp.next;
temp.next=hereNode;
}
}
//修改节点信息,根据编号修改,不能修改编号只能修改节点的数据
public void update(HereNode newHereNode){
if (head.next==null){
System.out.println("链表为空");
return;
}
HereNode temp = head.next;
boolean flag =false;//表示是否找到
while(true){
if (temp==null){
//表示已经遍历完了链表
break;
}
if (temp.no==newHereNode.no){
//找到了
flag=true;
break;
}
temp =temp.next;
}
if (flag){
temp.name=newHereNode.name;
temp.nickName=newHereNode.nickName;
}else {
System.out.println("没有找到角色");
}
}
//删除链表的某一个节点
public void delete(int no){
HereNode temp =head;//temp是待删除节点的上一个节点
Boolean flag =false;//判断待删除节点是否存在
while(true){
if (temp.next==null){//已经到了链表的最后
break;
}
if (temp.next.no==no){
flag=true;
break;
}
temp=temp.next;//temp后移,这样我们才能完成循环遍历
}
if (flag){
temp.next=temp.next.next;//让找到的节点指向它下一个节点的下一个节点,这样没人指向它的时候,就会被GC回收掉
return;
}else {
System.out.println("不好意思,没有找到想过要被删除的节点");
}
}
//查询链表集合
public void list(){
//判断链表是否为空
if (head.next==null){
System.out.println("链表没有数据无法遍历");
return;
}
//不为的情况下在再遍历输出链表数据
//因为头节点不能动,所以我们需要辅助变量来帮助我们遍历
HereNode temp =head;
while(true){//判断是否走到了链表的尾部
if (temp==null){
break;
}
System.out.println(temp);
//将temp后移 否则会陷入死循环
temp =temp.next;
}
}
}
class HereNode {
public int no;
public String name;
public String nickName;
public HereNode next;
public HereNode(int no, String name, String nickName) {
this.no = no;
this.name = name;
this.nickName = nickName;
}
@Override
public String toString() {
return "HereNode{" +
"no=" + no +
", name='" + name + '\'' +
", nickName='" + nickName + '\'' +
'}';
}
}
class test{
public static void main(String[] args) {
HereNode hereNode1 = new HereNode(1, "宋江", "及时雨");
HereNode hereNode2 = new HereNode(2, "卢俊义", "玉麒麟");
HereNode hereNode3 = new HereNode(3, "吴用", "智多星");
HereNode hereNode4 = new HereNode(4, "林冲", "豹子头");
//加入到单向链表中
SingleLikedList list = new SingleLikedList();
list.add(hereNode1);
list.add(hereNode2);
list.add(hereNode3);
list.add(hereNode4);
// list.addHereByOder(hereNode1);
// list.addHereByOder(hereNode4);
// list.addHereByOder(hereNode2);
// list.addHereByOder(hereNode3);
list.list();
//测试更新
HereNode node = new HereNode(2, "小卢", "玉麒麟~~");
list.update(node);
//测试删除
list.delete(1);
System.out.println("删除后的节点情况");
list.list();
}
}
单链表面试题(新浪、百度、腾讯)
1)求单链表中有效节点的个数
public int getLength(HereNode head){
if (head.next == null){
return 0;
}
int length = 0;
//定义一个辅助的temp 指向头节点的下一个节点,因为头节点没有有效数据
HereNode cur =head.next;
while(cur !=null){
length++;
cur=cur.next;
}
return length;
}
获取单链表中倒数第k个节点
//查询单链表中倒数第k个节点
//思路:编写一个方法接收head节点,同时接收index
//index表示倒数第index节点
//先把链表从头到尾遍历出来,得到链表总长度getlenth()
//得到size以后就可以遍历(size-index)个
//如果找到了就返回节点否则就返回未找到
public HereNode findLastIndexNode(HereNode head ,int index){
//如果链表为空,我们就返回一个null即可
if (head.next==null){
return null;
}
//第一个遍历得到链表长度,即节点的个数
int size = getLength(head);
//第二次遍历,size-index就是我们要找的倒数第k个节点
//先做index的校验
if (index<=0||index>size){
return null;
}
//定义辅助变量cur,for循环定位到倒数的index
HereNode cur = head.next;
for (int i = 0; i <size-index ; i++) {
cur =cur.next;
}
return cur;
}
单链表的翻转

//将单链表的节点翻转形成新的单链表
public static void reserveList(HereNode head){
//判断,当前链表为空或者当前链表只有一个节点时不用翻转直接输出
if(head.next==null||head.next.next==null){
return;
}
//定义一个辅助的指针帮助我们去遍历原来的链表
HereNode cur= head.next;
HereNode next =null;//指向当前节点的下一个节点
HereNode reverseNode = new HereNode(0,"","");
//遍历原来的列表,并从头遍历原来的链表,将遍历出来的节点依次放入到reverseNode最前端;
while(cur!=null){
next=cur.next;//保存当前节点下一个节点,后面会用到
cur.next=reverseNode.next;//将cur的下一个节点指向新的链表的最前端
reverseNode.next=cur;
cur=next;//让cur不断的后移
}
//将head。next指向reverseNode.next,从而实现了单链表的反转
head.next=reverseNode.next;
}
从尾到头打印链表
/将单向链表从尾到头打印出来 //逆序打印单链表
public void reversePrint(HereNode head) {
if (head.next==null){
return;//链表空直接返回
}
//创建一个栈,将单向链表的数据都压入栈中
Stack<HereNode> stack = new Stack<>();
HereNode cur =head.next;
while(cur!=null){
stack.push(cur);
cur=cur.next;
}
//将栈中数据弹出
while (stack.size()>0){
System.out.println(stack.pop());//stack栈的特点是先进后出
}
}
数据结构详解:线性链表、稀疏数组与队列
本文介绍了数据结构的基本概念,重点讲述了逻辑结构中的线性链表、非线性链表,以及稀疏数组和队列。线性链表分为顺序存储和链式存储,稀疏数组适用于大部分元素为0或相同值的场景,队列则遵循先入先出的原则。文章还探讨了数据结构和算法的关系,并提供了链表相关面试题。
978

被折叠的 条评论
为什么被折叠?



