常微分方程 (ODE) 在工程和科学的各个方面都很常见。它们用于模拟物理现象,例如湍流气流、卫星轨道、传热、振动和无数其他现象。它们是人类理解物理和数学的基础。虽然我们可以根据直觉和我们对世界运作方式的基本理解来创建这些方程式,但求解它们可能更具挑战性。
常微分方程
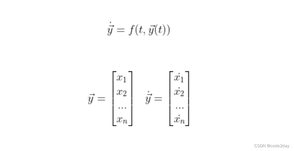
在本文中,我假设您对微积分和微分方程有基本的了解。术语常微分方程是指包含一个独立变量的函数和这些函数的导数的微分方程。对于大多数工程和科学 ODE,自变量是时间,方程的形式如下:

这里,y向量可以是空间状态、质量、温度等,t是时间。不幸的是,大多数 ODE 无法解析求解;这意味着无法导出函数来提供微分方程的精确解。求解这些微分方程的另一种方法是利用数值积分方法。
数值积分
数值积分一词最早出现于 1915 年,但直到现代计算机出现时,它的好处才真正显现出来。数值积分是一种通过了解控制y随时间变化的微分方程来近似函数y随时间变化的方法。它们是所述的估计,因此它们仅与所使用的方法和技术一样好。最流行的数值积分形式之一是四阶 Runge-Kutta 方法(或 RK4)。
RK4 可以用下面的方程式和图表来描述。通常情况下,您需要求解矢量形式的 ODE,因此显示了 RK4 的矢量形式。在方程式中,k值是在图中所示位置使用微分方程计算的y的斜率估计值。一旦确定了k个值,就会对它们取平均值并乘以时间步长h。然后将其添加到y的当前值以获得y

本文介绍了如何使用Runge-Kutta四阶算法在MATLAB中求解常微分方程(ODE),通过数值积分方法逼近函数解。以一个可解析的ODE为例,展示RK4算法的实现过程,并通过比较精确解验证其准确性。
订阅专栏 解锁全文
1万+

被折叠的 条评论
为什么被折叠?



