目录
学习目标
- 学会使用Pytorch构建学习系统
- 理解基础的神经网络和深度学习
需要具备:
- 线性代数+概率论(随机变量和分布之间的关系)
- Python

人工智能
人工智能(Artificial Intelligence,简称AI)是一种模拟人类智能的技术
- 娱乐领域
人工智能被广泛应用于游戏开发和虚拟现实技术中。例如,通过机器学习算法,人工智能可以学习玩家的游戏习惯,自动调整游戏的难度,提供更好的游戏体验。同时,人工智能还可以创建虚拟人物,使之具备语音交互和情感表达能力,增强沉浸感。
- 医疗领域
人工智能可以帮助医生进行早期疾病诊断和治疗规划。通过分析大量的医学数据和影像,人工智能可以辅助医生进行疾病预测和风险评估,并提供个性化的治疗方案。此外,人工智能还可以通过智能助手和机器人来提供基础医疗服务,缓解医疗资源紧缺的问题。
- 交通领域
人工智能可以实现自动驾驶技术,提高交通安全和效率。通过感知系统、决策系统和控制系统的组合,人工智能可以识别交通信号、道路标识和其他车辆,自动规划行车路线并进行安全驾驶。未来,随着物联网和5G技术的发展,人工智能有望在交通领域发挥更大的作用。
此外,人工智能还可以应用于金融、教育、能源、农业等领域,为各行各业提供智能化的解决方案。
未来,人工智能的发展趋势主要包括以下几个方面:
-
深度学习的进一步发展:深度学习是人工智能的核心技术之一,未来会继续在算法和计算能力上不断优化,提高模型的准确性和泛化能力。
-
多模态融合:人工智能将会进一步发展多模态融合技术,将图像、语音、文本等多种信息进行融合,提供更全面和准确的智能服务。
-
边缘计算与人工智能的结合:随着物联网的普及和边缘计算技术的发展,人工智能将逐渐从云端向边缘设备转移,实现更快速和实时的智能决策。
-
人机协作与智能增强:人工智能不仅仅是取代人类的工具,还将与人类进行更加紧密的协作,提供智能助手和辅助决策系统。
总的来说,人工智能在现代科技中的应用非常广泛,未来发展的趋势也非常明确。随着人工智能技术的不断进步和创新,我们相信它将为人类带来更多的便利和创新,推动社会的进步和发展。
1. 智能(Intelligence)
1.1 人类智能

-
决定要吃什么的过程:考虑外部信息,做出决策的过程。(钱、口味、环境…)

-
看到一个实体(一张图片),能够判断它的类别(猫),这是一个预测的过程。

对于不同的手写数字,判断属于哪个数字,这是一个抽象的过程,也是一个预测的过程。

1.2 机器学习(人工智能)

例子:购物软件会推送你可能喜欢的物品;小视频软件会推送你可能感兴趣的视频或新闻。(推理过程)
现在常用的方法还是监督学习

以前学的算法:(人工设计的)
- 穷举法
- 贪心法
- 分治法
- 动态规划
机器学习算法:从数据集中找出来的规律、结构
1.3 深度学习

AI>机器学习>表征学习(特征学习)>深度学习
深度学习是人工智能领域非常小的一个分支
1.4 学习系统的发展历程
早期规则系统(1950年代-1960年代):
早期的学习系统主要采用规则系统的方法,即根据预先设定的规则和条件(人工设计)进行学习和决策。例如,Samuel的西洋跳棋程序和Newell和Simon的逻辑理论机都是基于这种思想构建的。
- Samuel的西洋跳棋程序:
1952年,IBM的亚瑟●塞缪尔(Arthur Samuel,被誉为“机器学习之父”)设计了一款可以学习的西洋跳棋程序。塞缪尔和这个程序进行多场对弈后发现,随着时间的推移,程序的棋艺变得越来越好。塞缪尔用这个程序推翻了以往“机器无法超越人类,不能像人一样写代码和学习”这一传统认识。并在1956年正式提出了“机器学习”这一概念。
符号系统(1970年代-1980年代):
进入70年代,学习系统开始采用符号系统的方法,将知识表示为符号和规则的组合。这种方法对于符号处理和推理任务非常有效,例如,基于逻辑的专家系统就是典型的符号系统。
- 基于逻辑的专家系统:
旨在模拟人类专家的知识与推理能力。
它基于一套事先定义好的规则和知识库,通过逻辑推理来解决特定问题或提供决策支持。
主要组件组成:知识库、推理引擎和用户接口。知识库是专家系统的核心,包含了专家所提供的领域知识和规则,以及相关的事实和推理规则。推理引擎负责根据事实和规则进行逻辑推理,并生成答案或解决方案。用户接口则提供与用户交互的方式,例如输入问题、获取答案等。
连接主义系统(1980年代-1990年代):
80年代,连接主义学习系统崛起。连接主义方法是通过建立神经网络和学习算法来模拟人脑的学习过程。这种方法强调从数据中学习知识,而不是依赖预设的规则和知识。典型的连接主义学习系统包括感知机、多层前馈神经网络和卷积神经网络。
混合系统(2000年代至今):
进入21世纪,学习系统开始采用混合系统的方法,结合了符号系统和连接主义系统的优点。这种方法既可以处理符号处理和推理任务,又可以从大量数据中学习知识。典型的混合学习系统包括深度学习模型和知识图谱。

表征学习:学习从高维空间到低维空间的映射(降维) 维度越高,需要数据量就越大。Mapping from features:学习器。特征提取(人工选择特征)与学习器是分开的。
深度学习:特征提取与学习器是一起的,卷积。(end to end)
总的来说,学习系统的发展历程可以看作是从规则系统到符号系统,再到连接主义系统的演化过程。随着技术的进步和研究的深入,学习系统的能力不断提高,已经在许多领域取得了重要的应用和突破。未来,学习系统将继续发展,更加强调数据驱动的学习和智能化的决策。
传统的机器学习策略

判断类别:有标签,分类;无标签:聚簇;
预测值:回归,降维
结构化预测
2. 传统机器学习算法的一些挑战
- 手工设计特征的限制
- 不能处理大型数据集(SVM)
- 越来越多的应用需要处理非结构化数据。
ImageNet数据集:

3. 神经网络的简要历史
神经网络来源:神经科学+数学+工程学

1959年,研究视觉感知与大脑神经之间的关系:给猫猫看幻灯片:大脑电流不变化;给猫猫切换幻灯片,有变化;给猫猫看变化的条纹,发现:大脑通过视觉提取信息时是分层进行的,浅层次神经元可能负责提取颜色、形状等特征,深层次神经元可能判断类别之类的抽象特征。
Hubel D H, Wiesel T N. Receptive fields of single neurones in the cat’s striate cortexlJ. Journal of Physiology, 1959, 148(3):574.
- 模拟人类单个神经元信息传递,产生了感知机。

- 多个神经元通过树突连接:产生了人工神经网络

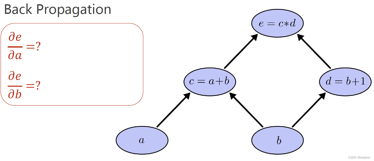
3.1 Back Propagation(反向传播)
反向传播是神经网络中很重要的一部分,实质是求偏导数。
前馈传播、反向传播实质是一样的,都是用链式求导法则求偏导数的过程,只是方向相反!


3.2 神经网络模型发展历程
- LeNet5
LeNet-5是一种经典的卷积神经网络结构,于1998年投入实际使用中。该网络最早应用于手写体字符识别应用中。普遍认为,卷积神经网络的出现开始于LeCun 等提出的LeNet 网络(LeCun et al., 1998) ,可以说LeCun 等是CNN 的缔造者,而LeNet-5 则是LeCun 等创造的CNN 经典之作 。(百度)
神经网络模型有很多,重点不是要学习这些模型,而是学习这么模型构造的套路,用于自己的模型。(搭积木)
深度学习的发展得益于:算法+数据+算力

3.3 深度学习框架
- Theano (University of Montreal)
- Keras(Google)
- TensorFlow (Google):静态图
- Caffe (UC Berkeley) / Caffe 2 (Facebook)
- Torch (NYU & Facebook) / PyTorch (Facebook):动态图




被折叠的 条评论
为什么被折叠?



