题目
已知两颗二叉树,将它们合并成一颗二叉树。合并规则是:都存在的结点,就将结点值加起来,否则空的位置就由另一个树的结点来代替。例如:
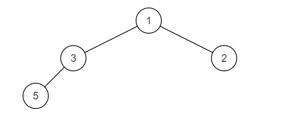
两颗二叉树是:
Tree 1

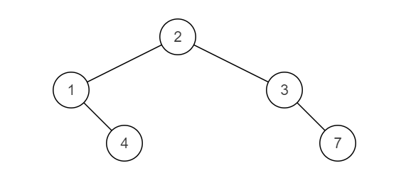
Tree 2

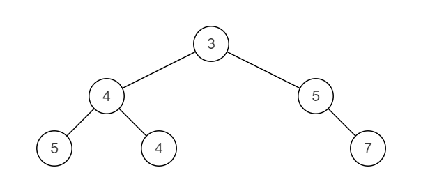
合并后的树为

数据范围:树上节点数量满足 0≤n≤500,树上节点的值一定在32位整型范围内。
进阶:空间复杂度 O(1) ,时间复杂度 O(n)
参数说明:二叉树类,二叉树序列化是通过按层遍历,#代表这这个节点为空节点,举个例子:
1
/ \
2 3
/
4
以上二叉树会被序列化为 {1,2,3,#,#,4}
示例1
输入:
{1,3,2,5},{2,1,3,#,4,#,7}
返回值:
{3,4,5,5,4,#,7}
示例2
输入:
{1},{}
返回值:
{1}
思路
前序递归遍历两颗二叉树,将两个根点的值相加创建到新树中。
解答代码
/**
* struct TreeNode {
* int val;
* struct TreeNode *left;
* struct TreeNode *right;
* TreeNode(int x) : val(x), left(nullptr), right(nullptr) {}
* };
*/
class Solution {
public:
/**
* @param t1 TreeNode类
* @param t2 TreeNode类
* @return TreeNode类
*/
TreeNode* mergeTrees(TreeNode* t1, TreeNode* t2) {
// write code here
if (t1 == nullptr) {
return t2;
} else if (t2 == nullptr) {
return t1;
}
// 前序递归
auto head = new TreeNode(t1->val + t2->val);
head->left = mergeTrees(t1->left, t2->left);
head->right = mergeTrees(t1->right, t2->right);
return head;
}
};
2542

被折叠的 条评论
为什么被折叠?



