目录


1. GAN
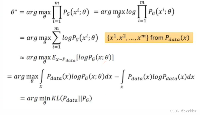
目标:
训练一个生成器去拟合真实样本的分布 ,然后通过生成器从这个分布中进行采样。
数学目标:
为最小化样本和生成器分布的KL散度:

推导过程:

目标函数:
当判别器太强或样本分布太复杂,生成器会偷懒产生模式坍塌。
2. VAE
目标:
训练一个生成器去拟合真实样本的分布 ,然后通过生成器从这个分布中进行采样;
添加了一个约束假设,既p(z|x)服从N(0,1)分布。
数学目标:
为最大化证据下界。

推导过程:

目标函数:


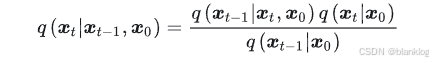
Diffusion
目标:
训练一个生成器去拟合真实样本的分布 ;从t时刻的扩散噪声中一步步恢复出真实数据分布,模型预测t时刻的噪声,用来采样t-1时刻的图像。
假设:前向扩散过程噪声服从N~(0,1)分布。
推导:逆向过程服从高斯分布,均值和方差跟,x0,xt和扩散参数有关。
数学目标:
VAE:
Diffusion:

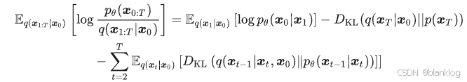
推导过程:

简化:


第二项无参数,只优化第一项和第三项即可,第一项可看作第三项T=1的情况。

目标函数:
根据 t 时刻的图像预测其t时刻的噪声,使得 的分布与真实的分布相近。


被折叠的 条评论
为什么被折叠?



