大数据机器学习(三)感知机
最新推荐文章于 2024-12-17 23:09:21 发布
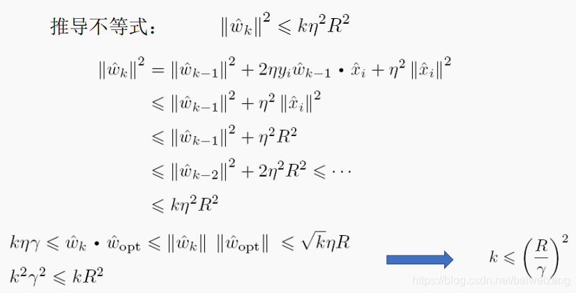
本文介绍了1957年由罗森布拉特提出的感知机模型,它是神经网络和支持向量机的基础。文中详细解释了感知机作为判别模型的实质及其实现策略,并探讨了其损失函数的定义和极小化过程。此外还对比了感知机的原始形式和对偶形式,以及这两种形式在参数更新上的差异。
本文介绍了1957年由罗森布拉特提出的感知机模型,它是神经网络和支持向量机的基础。文中详细解释了感知机作为判别模型的实质及其实现策略,并探讨了其损失函数的定义和极小化过程。此外还对比了感知机的原始形式和对偶形式,以及这两种形式在参数更新上的差异。
3350
2601

被折叠的 条评论
为什么被折叠?